Note
Go to the end to download the full example code.
06 Surrogate Models with machine learning#
Build surrogate model machine learning models to predict CFAST outputs instantly instead of running full simulations.
Goal: Predict Target Surface Temperature of the devices (Devices TRGSURT) from fire parameters: heat of combustion, radiative fraction, soot yield and target z position
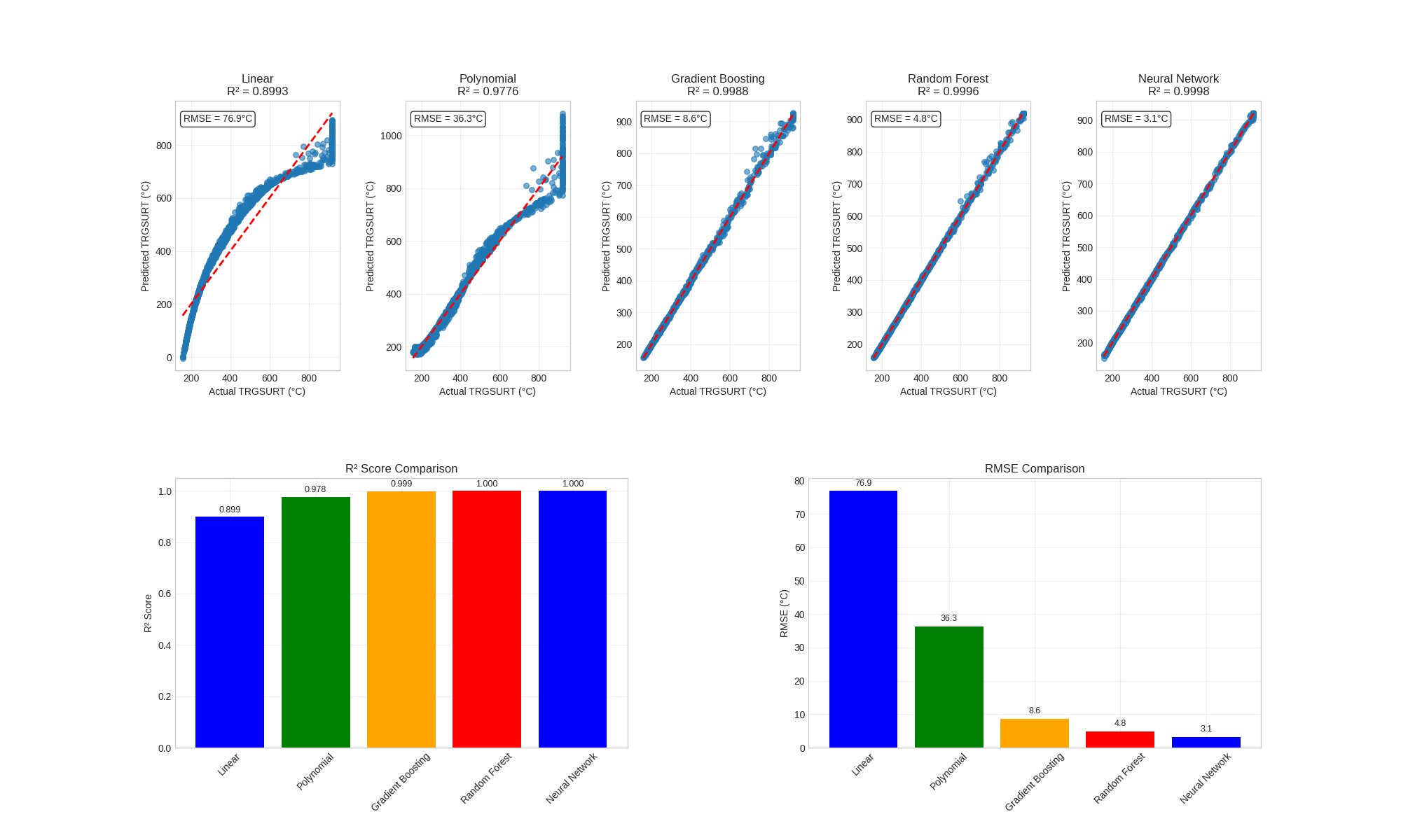
Models: Linear → Polynomial → Gradient Boosting → Random Forest → Neural Network (PyTorch)
Step 1: Import Libraries#
import matplotlib.pyplot as plt
import numpy as np
import pandas as pd
import seaborn as sns
import torch
import torch.nn as nn
import torch.optim as optim
from scipy.stats import qmc
from sklearn.ensemble import GradientBoostingRegressor, RandomForestRegressor
from sklearn.linear_model import LinearRegression
from sklearn.metrics import mean_squared_error, r2_score
from sklearn.model_selection import train_test_split
from sklearn.pipeline import Pipeline
from sklearn.preprocessing import PolynomialFeatures, StandardScaler
from torch.utils.data import DataLoader, TensorDataset
from pycfast.parsers import parse_cfast_file
plt.style.use("seaborn-v0_8-whitegrid")
Step 2: Load Base Model and Run Baseline#
We use parse_cfast_file() to load the base model and run() to get baseline results.
model = parse_cfast_file("data/SP_AST_Diesel_1p1.in")
baseline_results = model.run()
print(f"Baseline TRGSURT max: {baseline_results['devices']['TRGSURT_1'].max():.2f} °C")
print("Current fire parameters:")
print(f"Heat of combustion: {model.fires[0].heat_of_combustion} MJ/kg")
print(f"Radiative fraction: {model.fires[0].radiative_fraction}")
print(f"Soot yield: {model.fires[0].data_table[0][5]}")
Baseline TRGSURT max: 920.10 °C
Current fire parameters:
Heat of combustion: 50000.0 MJ/kg
Radiative fraction: 0.35
Soot yield: 0.05
The parsed model is displayed below.
model
model.summary()
Model: SP_AST_Diesel_1p1_parsed.in
Simulation: 'CFAST Simulation' (1800s)
Components:
Material Properties (1):
Material 'STEELSHT' (Steel Plain Carbon (1/16 in)): k=48.0, ρ=7854.0, c=0.559, t=0.0015, ε=0.9
Compartments (1):
Compartment 'Compartment 1': 100.0x100.0x100.0 m, volume: 1000000.00 m³ (ceiling: OFF, wall: OFF, floor: OFF)
Wall Vents (4):
Wall Vent 'WallVent_1': Compartment 1 ↔ OUTSIDE, 100.0x100.0 m, bottom: 0.0 m
Wall Vent 'WallVent_2': Compartment 1 ↔ OUTSIDE, 100.0x100.0 m, bottom: 0.0 m
Wall Vent 'WallVent_3': Compartment 1 ↔ OUTSIDE, 100.0x100.0 m, bottom: 0.0 m
Wall Vent 'WallVent_4': Compartment 1 ↔ OUTSIDE, 100.0x100.0 m, bottom: 0.0 m
Fires (1):
Fire 'n-Decane Test 1' (n-Decane Test 1_Fire) in 'Compartment 1' at (50, 50) (peak: 2 kW, duration: 27min, χr: 0.35)
Devices (5):
Target 'Targ 1' (PLATE) in 'Compartment 1' at (50, 50, 1.45) (material: STEELSHT, depth: 0.00075m)
Target 'Targ 2' (PLATE) in 'Compartment 1' at (50, 50, 2.45) (material: STEELSHT, depth: 0.00075m)
Target 'Targ 3' (PLATE) in 'Compartment 1' at (50, 50, 3.45) (material: STEELSHT, depth: 0.00075m)
Target 'Targ 4' (PLATE) in 'Compartment 1' at (50, 50, 4.45) (material: STEELSHT, depth: 0.00075m)
Target 'Targ 5' (PLATE) in 'Compartment 1' at (50, 50, 5.45) (material: STEELSHT, depth: 0.00075m)
Step 3: Generate Training Data#
We define parameter ranges and use Sobol sampling to generate a well-distributed training dataset.
param_bounds = {
"heat_of_combustion": [5.0, 50.0],
"radiative_fraction": [0.1, 0.5],
"soot_yield": [0.01, 0.15],
"target_location_z": [1.45, 5.45], # height of target above floor
}
print("Parameter ranges:")
for param, bounds in param_bounds.items():
print(f" {param}: {bounds}")
Parameter ranges:
heat_of_combustion: [5.0, 50.0]
radiative_fraction: [0.1, 0.5]
soot_yield: [0.01, 0.15]
target_location_z: [1.45, 5.45]
We will use Sobol sampling to generate a training dataset. Sobol sequences provide low-discrepancy coverage of the parameter space.
def generate_samples(bounds_dict, n_samples, seed: int = 42):
param_names = list(bounds_dict.keys())
lower = np.array([bounds[0] for bounds in bounds_dict.values()], dtype=float)
upper = np.array([bounds[1] for bounds in bounds_dict.values()], dtype=float)
sampler = qmc.Sobol(d=len(param_names), scramble=True, seed=seed)
unit_samples = sampler.random(n_samples)
# Centered discrepancy (default)
disc_centered = qmc.discrepancy(unit_samples)
# L2-star discrepancy
disc_l2 = qmc.discrepancy(unit_samples, method="L2-star")
print(f"Centered discrepancy: {disc_centered:.5f}")
print(f"L2-star discrepancy: {disc_l2:.5f}")
samples = qmc.scale(unit_samples, lower, upper)
return pd.DataFrame(samples, columns=param_names)
# Generate 5000 training samples
training_samples = generate_samples(param_bounds, 5000)
print(f"Generated {len(training_samples)} training samples")
/home/runner/work/pycfast/pycfast/.venv/lib/python3.10/site-packages/scipy/stats/_qmc.py:993: UserWarning: The balance properties of Sobol' points require n to be a power of 2.
sample = self._random(n, workers=workers)
Centered discrepancy: 0.00000
L2-star discrepancy: 0.00044
Generated 5000 training samples
Discrepancy score allows us to measure how well the samples cover the parameter space. Lower is better. Now we define the simulation function and run CFAST for each sample.
def run_cfast_simulation(row: pd.Series) -> float:
data_table = model.fires[0].data_table
temp_data_table = [
r[:5] + [row["soot_yield"]] + r[6:] if len(r) > 6 else r for r in data_table
]
# update fire parameters in the model using :meth:`~pycfast.CFASTModel.update_fire_params`
temp_model = model.update_fire_params(
fire="n-Decane Test 1_Fire",
data_table=temp_data_table,
heat_of_combustion=row["heat_of_combustion"],
radiative_fraction=row["radiative_fraction"],
)
# Update the second target device location using :meth:`~pycfast.CFASTModel.update_device_params`
temp_model = temp_model.update_device_params(
device="Targ 1",
location=[50.0, 50.0, row["target_location_z"]], # x, y, z
)
sim_results = temp_model.run()
max_trgsurt = sim_results["devices"]["TRGSURT_1"].max()
return max_trgsurt
Run simulations and collect training data
print("Running CFAST simulations...")
results = []
for i, row in training_samples.iterrows():
print(f"Running simulation {i + 1}/{len(training_samples)}", end="\r")
max_trgsurt = run_cfast_simulation(row)
results.append(
{
"heat_of_combustion": row["heat_of_combustion"],
"radiative_fraction": row["radiative_fraction"],
"soot_yield": row["soot_yield"],
"target_location_z": row["target_location_z"],
"max_trgsurt": max_trgsurt,
}
)
training_data = pd.DataFrame(results)
print(f"Collected {len(training_data)} successful simulations")
print(
f"TRGSURT range: {training_data['max_trgsurt'].min():.1f} - {training_data['max_trgsurt'].max():.1f} °C"
)
Running CFAST simulations...
Running simulation 1/5000
Running simulation 2/5000
Running simulation 3/5000
Running simulation 4/5000
Running simulation 5/5000
Running simulation 6/5000
Running simulation 7/5000
Running simulation 8/5000
Running simulation 9/5000
Running simulation 10/5000
Running simulation 11/5000
Running simulation 12/5000
Running simulation 13/5000
Running simulation 14/5000
Running simulation 15/5000
Running simulation 16/5000
Running simulation 17/5000
Running simulation 18/5000
Running simulation 19/5000
Running simulation 20/5000
Running simulation 21/5000
Running simulation 22/5000
Running simulation 23/5000
Running simulation 24/5000
Running simulation 25/5000
Running simulation 26/5000
Running simulation 27/5000
Running simulation 28/5000
Running simulation 29/5000
Running simulation 30/5000
Running simulation 31/5000
Running simulation 32/5000
Running simulation 33/5000
Running simulation 34/5000
Running simulation 35/5000
Running simulation 36/5000
Running simulation 37/5000
Running simulation 38/5000
Running simulation 39/5000
Running simulation 40/5000
Running simulation 41/5000
Running simulation 42/5000
Running simulation 43/5000
Running simulation 44/5000
Running simulation 45/5000
Running simulation 46/5000
Running simulation 47/5000
Running simulation 48/5000
Running simulation 49/5000
Running simulation 50/5000
Running simulation 51/5000
Running simulation 52/5000
Running simulation 53/5000
Running simulation 54/5000
Running simulation 55/5000
Running simulation 56/5000
Running simulation 57/5000
Running simulation 58/5000
Running simulation 59/5000
Running simulation 60/5000
Running simulation 61/5000
Running simulation 62/5000
Running simulation 63/5000
Running simulation 64/5000
Running simulation 65/5000
Running simulation 66/5000
Running simulation 67/5000
Running simulation 68/5000
Running simulation 69/5000
Running simulation 70/5000
Running simulation 71/5000
Running simulation 72/5000
Running simulation 73/5000
Running simulation 74/5000
Running simulation 75/5000
Running simulation 76/5000
Running simulation 77/5000
Running simulation 78/5000
Running simulation 79/5000
Running simulation 80/5000
Running simulation 81/5000
Running simulation 82/5000
Running simulation 83/5000
Running simulation 84/5000
Running simulation 85/5000
Running simulation 86/5000
Running simulation 87/5000
Running simulation 88/5000
Running simulation 89/5000
Running simulation 90/5000
Running simulation 91/5000
Running simulation 92/5000
Running simulation 93/5000
Running simulation 94/5000
Running simulation 95/5000
Running simulation 96/5000
Running simulation 97/5000
Running simulation 98/5000
Running simulation 99/5000
Running simulation 100/5000
Running simulation 101/5000
Running simulation 102/5000
Running simulation 103/5000
Running simulation 104/5000
Running simulation 105/5000
Running simulation 106/5000
Running simulation 107/5000
Running simulation 108/5000
Running simulation 109/5000
Running simulation 110/5000
Running simulation 111/5000
Running simulation 112/5000
Running simulation 113/5000
Running simulation 114/5000
Running simulation 115/5000
Running simulation 116/5000
Running simulation 117/5000
Running simulation 118/5000
Running simulation 119/5000
Running simulation 120/5000
Running simulation 121/5000
Running simulation 122/5000
Running simulation 123/5000
Running simulation 124/5000
Running simulation 125/5000
Running simulation 126/5000
Running simulation 127/5000
Running simulation 128/5000
Running simulation 129/5000
Running simulation 130/5000
Running simulation 131/5000
Running simulation 132/5000
Running simulation 133/5000
Running simulation 134/5000
Running simulation 135/5000
Running simulation 136/5000
Running simulation 137/5000
Running simulation 138/5000
Running simulation 139/5000
Running simulation 140/5000
Running simulation 141/5000
Running simulation 142/5000
Running simulation 143/5000
Running simulation 144/5000
Running simulation 145/5000
Running simulation 146/5000
Running simulation 147/5000
Running simulation 148/5000
Running simulation 149/5000
Running simulation 150/5000
Running simulation 151/5000
Running simulation 152/5000
Running simulation 153/5000
Running simulation 154/5000
Running simulation 155/5000
Running simulation 156/5000
Running simulation 157/5000
Running simulation 158/5000
Running simulation 159/5000
Running simulation 160/5000
Running simulation 161/5000
Running simulation 162/5000
Running simulation 163/5000
Running simulation 164/5000
Running simulation 165/5000
Running simulation 166/5000
Running simulation 167/5000
Running simulation 168/5000
Running simulation 169/5000
Running simulation 170/5000
Running simulation 171/5000
Running simulation 172/5000
Running simulation 173/5000
Running simulation 174/5000
Running simulation 175/5000
Running simulation 176/5000
Running simulation 177/5000
Running simulation 178/5000
Running simulation 179/5000
Running simulation 180/5000
Running simulation 181/5000
Running simulation 182/5000
Running simulation 183/5000
Running simulation 184/5000
Running simulation 185/5000
Running simulation 186/5000
Running simulation 187/5000
Running simulation 188/5000
Running simulation 189/5000
Running simulation 190/5000
Running simulation 191/5000
Running simulation 192/5000
Running simulation 193/5000
Running simulation 194/5000
Running simulation 195/5000
Running simulation 196/5000
Running simulation 197/5000
Running simulation 198/5000
Running simulation 199/5000
Running simulation 200/5000
Running simulation 201/5000
Running simulation 202/5000
Running simulation 203/5000
Running simulation 204/5000
Running simulation 205/5000
Running simulation 206/5000
Running simulation 207/5000
Running simulation 208/5000
Running simulation 209/5000
Running simulation 210/5000
Running simulation 211/5000
Running simulation 212/5000
Running simulation 213/5000
Running simulation 214/5000
Running simulation 215/5000
Running simulation 216/5000
Running simulation 217/5000
Running simulation 218/5000
Running simulation 219/5000
Running simulation 220/5000
Running simulation 221/5000
Running simulation 222/5000
Running simulation 223/5000
Running simulation 224/5000
Running simulation 225/5000
Running simulation 226/5000
Running simulation 227/5000
Running simulation 228/5000
Running simulation 229/5000
Running simulation 230/5000
Running simulation 231/5000
Running simulation 232/5000
Running simulation 233/5000
Running simulation 234/5000
Running simulation 235/5000
Running simulation 236/5000
Running simulation 237/5000
Running simulation 238/5000
Running simulation 239/5000
Running simulation 240/5000
Running simulation 241/5000
Running simulation 242/5000
Running simulation 243/5000
Running simulation 244/5000
Running simulation 245/5000
Running simulation 246/5000
Running simulation 247/5000
Running simulation 248/5000
Running simulation 249/5000
Running simulation 250/5000
Running simulation 251/5000
Running simulation 252/5000
Running simulation 253/5000
Running simulation 254/5000
Running simulation 255/5000
Running simulation 256/5000
Running simulation 257/5000
Running simulation 258/5000
Running simulation 259/5000
Running simulation 260/5000
Running simulation 261/5000
Running simulation 262/5000
Running simulation 263/5000
Running simulation 264/5000
Running simulation 265/5000
Running simulation 266/5000
Running simulation 267/5000
Running simulation 268/5000
Running simulation 269/5000
Running simulation 270/5000
Running simulation 271/5000
Running simulation 272/5000
Running simulation 273/5000
Running simulation 274/5000
Running simulation 275/5000
Running simulation 276/5000
Running simulation 277/5000
Running simulation 278/5000
Running simulation 279/5000
Running simulation 280/5000
Running simulation 281/5000
Running simulation 282/5000
Running simulation 283/5000
Running simulation 284/5000
Running simulation 285/5000
Running simulation 286/5000
Running simulation 287/5000
Running simulation 288/5000
Running simulation 289/5000
Running simulation 290/5000
Running simulation 291/5000
Running simulation 292/5000
Running simulation 293/5000
Running simulation 294/5000
Running simulation 295/5000
Running simulation 296/5000
Running simulation 297/5000
Running simulation 298/5000
Running simulation 299/5000
Running simulation 300/5000
Running simulation 301/5000
Running simulation 302/5000
Running simulation 303/5000
Running simulation 304/5000
Running simulation 305/5000
Running simulation 306/5000
Running simulation 307/5000
Running simulation 308/5000
Running simulation 309/5000
Running simulation 310/5000
Running simulation 311/5000
Running simulation 312/5000
Running simulation 313/5000
Running simulation 314/5000
Running simulation 315/5000
Running simulation 316/5000
Running simulation 317/5000
Running simulation 318/5000
Running simulation 319/5000
Running simulation 320/5000
Running simulation 321/5000
Running simulation 322/5000
Running simulation 323/5000
Running simulation 324/5000
Running simulation 325/5000
Running simulation 326/5000
Running simulation 327/5000
Running simulation 328/5000
Running simulation 329/5000
Running simulation 330/5000
Running simulation 331/5000
Running simulation 332/5000
Running simulation 333/5000
Running simulation 334/5000
Running simulation 335/5000
Running simulation 336/5000
Running simulation 337/5000
Running simulation 338/5000
Running simulation 339/5000
Running simulation 340/5000
Running simulation 341/5000
Running simulation 342/5000
Running simulation 343/5000
Running simulation 344/5000
Running simulation 345/5000
Running simulation 346/5000
Running simulation 347/5000
Running simulation 348/5000
Running simulation 349/5000
Running simulation 350/5000
Running simulation 351/5000
Running simulation 352/5000
Running simulation 353/5000
Running simulation 354/5000
Running simulation 355/5000
Running simulation 356/5000
Running simulation 357/5000
Running simulation 358/5000
Running simulation 359/5000
Running simulation 360/5000
Running simulation 361/5000
Running simulation 362/5000
Running simulation 363/5000
Running simulation 364/5000
Running simulation 365/5000
Running simulation 366/5000
Running simulation 367/5000
Running simulation 368/5000
Running simulation 369/5000
Running simulation 370/5000
Running simulation 371/5000
Running simulation 372/5000
Running simulation 373/5000
Running simulation 374/5000
Running simulation 375/5000
Running simulation 376/5000
Running simulation 377/5000
Running simulation 378/5000
Running simulation 379/5000
Running simulation 380/5000
Running simulation 381/5000
Running simulation 382/5000
Running simulation 383/5000
Running simulation 384/5000
Running simulation 385/5000
Running simulation 386/5000
Running simulation 387/5000
Running simulation 388/5000
Running simulation 389/5000
Running simulation 390/5000
Running simulation 391/5000
Running simulation 392/5000
Running simulation 393/5000
Running simulation 394/5000
Running simulation 395/5000
Running simulation 396/5000
Running simulation 397/5000
Running simulation 398/5000
Running simulation 399/5000
Running simulation 400/5000
Running simulation 401/5000
Running simulation 402/5000
Running simulation 403/5000
Running simulation 404/5000
Running simulation 405/5000
Running simulation 406/5000
Running simulation 407/5000
Running simulation 408/5000
Running simulation 409/5000
Running simulation 410/5000
Running simulation 411/5000
Running simulation 412/5000
Running simulation 413/5000
Running simulation 414/5000
Running simulation 415/5000
Running simulation 416/5000
Running simulation 417/5000
Running simulation 418/5000
Running simulation 419/5000
Running simulation 420/5000
Running simulation 421/5000
Running simulation 422/5000
Running simulation 423/5000
Running simulation 424/5000
Running simulation 425/5000
Running simulation 426/5000
Running simulation 427/5000
Running simulation 428/5000
Running simulation 429/5000
Running simulation 430/5000
Running simulation 431/5000
Running simulation 432/5000
Running simulation 433/5000
Running simulation 434/5000
Running simulation 435/5000
Running simulation 436/5000
Running simulation 437/5000
Running simulation 438/5000
Running simulation 439/5000
Running simulation 440/5000
Running simulation 441/5000
Running simulation 442/5000
Running simulation 443/5000
Running simulation 444/5000
Running simulation 445/5000
Running simulation 446/5000
Running simulation 447/5000
Running simulation 448/5000
Running simulation 449/5000
Running simulation 450/5000
Running simulation 451/5000
Running simulation 452/5000
Running simulation 453/5000
Running simulation 454/5000
Running simulation 455/5000
Running simulation 456/5000
Running simulation 457/5000
Running simulation 458/5000
Running simulation 459/5000
Running simulation 460/5000
Running simulation 461/5000
Running simulation 462/5000
Running simulation 463/5000
Running simulation 464/5000
Running simulation 465/5000
Running simulation 466/5000
Running simulation 467/5000
Running simulation 468/5000
Running simulation 469/5000
Running simulation 470/5000
Running simulation 471/5000
Running simulation 472/5000
Running simulation 473/5000
Running simulation 474/5000
Running simulation 475/5000
Running simulation 476/5000
Running simulation 477/5000
Running simulation 478/5000
Running simulation 479/5000
Running simulation 480/5000
Running simulation 481/5000
Running simulation 482/5000
Running simulation 483/5000
Running simulation 484/5000
Running simulation 485/5000
Running simulation 486/5000
Running simulation 487/5000
Running simulation 488/5000
Running simulation 489/5000
Running simulation 490/5000
Running simulation 491/5000
Running simulation 492/5000
Running simulation 493/5000
Running simulation 494/5000
Running simulation 495/5000
Running simulation 496/5000
Running simulation 497/5000
Running simulation 498/5000
Running simulation 499/5000
Running simulation 500/5000
Running simulation 501/5000
Running simulation 502/5000
Running simulation 503/5000
Running simulation 504/5000
Running simulation 505/5000
Running simulation 506/5000
Running simulation 507/5000
Running simulation 508/5000
Running simulation 509/5000
Running simulation 510/5000
Running simulation 511/5000
Running simulation 512/5000
Running simulation 513/5000
Running simulation 514/5000
Running simulation 515/5000
Running simulation 516/5000
Running simulation 517/5000
Running simulation 518/5000
Running simulation 519/5000
Running simulation 520/5000
Running simulation 521/5000
Running simulation 522/5000
Running simulation 523/5000
Running simulation 524/5000
Running simulation 525/5000
Running simulation 526/5000
Running simulation 527/5000
Running simulation 528/5000
Running simulation 529/5000
Running simulation 530/5000
Running simulation 531/5000
Running simulation 532/5000
Running simulation 533/5000
Running simulation 534/5000
Running simulation 535/5000
Running simulation 536/5000
Running simulation 537/5000
Running simulation 538/5000
Running simulation 539/5000
Running simulation 540/5000
Running simulation 541/5000
Running simulation 542/5000
Running simulation 543/5000
Running simulation 544/5000
Running simulation 545/5000
Running simulation 546/5000
Running simulation 547/5000
Running simulation 548/5000
Running simulation 549/5000
Running simulation 550/5000
Running simulation 551/5000
Running simulation 552/5000
Running simulation 553/5000
Running simulation 554/5000
Running simulation 555/5000
Running simulation 556/5000
Running simulation 557/5000
Running simulation 558/5000
Running simulation 559/5000
Running simulation 560/5000
Running simulation 561/5000
Running simulation 562/5000
Running simulation 563/5000
Running simulation 564/5000
Running simulation 565/5000
Running simulation 566/5000
Running simulation 567/5000
Running simulation 568/5000
Running simulation 569/5000
Running simulation 570/5000
Running simulation 571/5000
Running simulation 572/5000
Running simulation 573/5000
Running simulation 574/5000
Running simulation 575/5000
Running simulation 576/5000
Running simulation 577/5000
Running simulation 578/5000
Running simulation 579/5000
Running simulation 580/5000
Running simulation 581/5000
Running simulation 582/5000
Running simulation 583/5000
Running simulation 584/5000
Running simulation 585/5000
Running simulation 586/5000
Running simulation 587/5000
Running simulation 588/5000
Running simulation 589/5000
Running simulation 590/5000
Running simulation 591/5000
Running simulation 592/5000
Running simulation 593/5000
Running simulation 594/5000
Running simulation 595/5000
Running simulation 596/5000
Running simulation 597/5000
Running simulation 598/5000
Running simulation 599/5000
Running simulation 600/5000
Running simulation 601/5000
Running simulation 602/5000
Running simulation 603/5000
Running simulation 604/5000
Running simulation 605/5000
Running simulation 606/5000
Running simulation 607/5000
Running simulation 608/5000
Running simulation 609/5000
Running simulation 610/5000
Running simulation 611/5000
Running simulation 612/5000
Running simulation 613/5000
Running simulation 614/5000
Running simulation 615/5000
Running simulation 616/5000
Running simulation 617/5000
Running simulation 618/5000
Running simulation 619/5000
Running simulation 620/5000
Running simulation 621/5000
Running simulation 622/5000
Running simulation 623/5000
Running simulation 624/5000
Running simulation 625/5000
Running simulation 626/5000
Running simulation 627/5000
Running simulation 628/5000
Running simulation 629/5000
Running simulation 630/5000
Running simulation 631/5000
Running simulation 632/5000
Running simulation 633/5000
Running simulation 634/5000
Running simulation 635/5000
Running simulation 636/5000
Running simulation 637/5000
Running simulation 638/5000
Running simulation 639/5000
Running simulation 640/5000
Running simulation 641/5000
Running simulation 642/5000
Running simulation 643/5000
Running simulation 644/5000
Running simulation 645/5000
Running simulation 646/5000
Running simulation 647/5000
Running simulation 648/5000
Running simulation 649/5000
Running simulation 650/5000
Running simulation 651/5000
Running simulation 652/5000
Running simulation 653/5000
Running simulation 654/5000
Running simulation 655/5000
Running simulation 656/5000
Running simulation 657/5000
Running simulation 658/5000
Running simulation 659/5000
Running simulation 660/5000
Running simulation 661/5000
Running simulation 662/5000
Running simulation 663/5000
Running simulation 664/5000
Running simulation 665/5000
Running simulation 666/5000
Running simulation 667/5000
Running simulation 668/5000
Running simulation 669/5000
Running simulation 670/5000
Running simulation 671/5000
Running simulation 672/5000
Running simulation 673/5000
Running simulation 674/5000
Running simulation 675/5000
Running simulation 676/5000
Running simulation 677/5000
Running simulation 678/5000
Running simulation 679/5000
Running simulation 680/5000
Running simulation 681/5000
Running simulation 682/5000
Running simulation 683/5000
Running simulation 684/5000
Running simulation 685/5000
Running simulation 686/5000
Running simulation 687/5000
Running simulation 688/5000
Running simulation 689/5000
Running simulation 690/5000
Running simulation 691/5000
Running simulation 692/5000
Running simulation 693/5000
Running simulation 694/5000
Running simulation 695/5000
Running simulation 696/5000
Running simulation 697/5000
Running simulation 698/5000
Running simulation 699/5000
Running simulation 700/5000
Running simulation 701/5000
Running simulation 702/5000
Running simulation 703/5000
Running simulation 704/5000
Running simulation 705/5000
Running simulation 706/5000
Running simulation 707/5000
Running simulation 708/5000
Running simulation 709/5000
Running simulation 710/5000
Running simulation 711/5000
Running simulation 712/5000
Running simulation 713/5000
Running simulation 714/5000
Running simulation 715/5000
Running simulation 716/5000
Running simulation 717/5000
Running simulation 718/5000
Running simulation 719/5000
Running simulation 720/5000
Running simulation 721/5000
Running simulation 722/5000
Running simulation 723/5000
Running simulation 724/5000
Running simulation 725/5000
Running simulation 726/5000
Running simulation 727/5000
Running simulation 728/5000
Running simulation 729/5000
Running simulation 730/5000
Running simulation 731/5000
Running simulation 732/5000
Running simulation 733/5000
Running simulation 734/5000
Running simulation 735/5000
Running simulation 736/5000
Running simulation 737/5000
Running simulation 738/5000
Running simulation 739/5000
Running simulation 740/5000
Running simulation 741/5000
Running simulation 742/5000
Running simulation 743/5000
Running simulation 744/5000
Running simulation 745/5000
Running simulation 746/5000
Running simulation 747/5000
Running simulation 748/5000
Running simulation 749/5000
Running simulation 750/5000
Running simulation 751/5000
Running simulation 752/5000
Running simulation 753/5000
Running simulation 754/5000
Running simulation 755/5000
Running simulation 756/5000
Running simulation 757/5000
Running simulation 758/5000
Running simulation 759/5000
Running simulation 760/5000
Running simulation 761/5000
Running simulation 762/5000
Running simulation 763/5000
Running simulation 764/5000
Running simulation 765/5000
Running simulation 766/5000
Running simulation 767/5000
Running simulation 768/5000
Running simulation 769/5000
Running simulation 770/5000
Running simulation 771/5000
Running simulation 772/5000
Running simulation 773/5000
Running simulation 774/5000
Running simulation 775/5000
Running simulation 776/5000
Running simulation 777/5000
Running simulation 778/5000
Running simulation 779/5000
Running simulation 780/5000
Running simulation 781/5000
Running simulation 782/5000
Running simulation 783/5000
Running simulation 784/5000
Running simulation 785/5000
Running simulation 786/5000
Running simulation 787/5000
Running simulation 788/5000
Running simulation 789/5000
Running simulation 790/5000
Running simulation 791/5000
Running simulation 792/5000
Running simulation 793/5000
Running simulation 794/5000
Running simulation 795/5000
Running simulation 796/5000
Running simulation 797/5000
Running simulation 798/5000
Running simulation 799/5000
Running simulation 800/5000
Running simulation 801/5000
Running simulation 802/5000
Running simulation 803/5000
Running simulation 804/5000
Running simulation 805/5000
Running simulation 806/5000
Running simulation 807/5000
Running simulation 808/5000
Running simulation 809/5000
Running simulation 810/5000
Running simulation 811/5000
Running simulation 812/5000
Running simulation 813/5000
Running simulation 814/5000
Running simulation 815/5000
Running simulation 816/5000
Running simulation 817/5000
Running simulation 818/5000
Running simulation 819/5000
Running simulation 820/5000
Running simulation 821/5000
Running simulation 822/5000
Running simulation 823/5000
Running simulation 824/5000
Running simulation 825/5000
Running simulation 826/5000
Running simulation 827/5000
Running simulation 828/5000
Running simulation 829/5000
Running simulation 830/5000
Running simulation 831/5000
Running simulation 832/5000
Running simulation 833/5000
Running simulation 834/5000
Running simulation 835/5000
Running simulation 836/5000
Running simulation 837/5000
Running simulation 838/5000
Running simulation 839/5000
Running simulation 840/5000
Running simulation 841/5000
Running simulation 842/5000
Running simulation 843/5000
Running simulation 844/5000
Running simulation 845/5000
Running simulation 846/5000
Running simulation 847/5000
Running simulation 848/5000
Running simulation 849/5000
Running simulation 850/5000
Running simulation 851/5000
Running simulation 852/5000
Running simulation 853/5000
Running simulation 854/5000
Running simulation 855/5000
Running simulation 856/5000
Running simulation 857/5000
Running simulation 858/5000
Running simulation 859/5000
Running simulation 860/5000
Running simulation 861/5000
Running simulation 862/5000
Running simulation 863/5000
Running simulation 864/5000
Running simulation 865/5000
Running simulation 866/5000
Running simulation 867/5000
Running simulation 868/5000
Running simulation 869/5000
Running simulation 870/5000
Running simulation 871/5000
Running simulation 872/5000
Running simulation 873/5000
Running simulation 874/5000
Running simulation 875/5000
Running simulation 876/5000
Running simulation 877/5000
Running simulation 878/5000
Running simulation 879/5000
Running simulation 880/5000
Running simulation 881/5000
Running simulation 882/5000
Running simulation 883/5000
Running simulation 884/5000
Running simulation 885/5000
Running simulation 886/5000
Running simulation 887/5000
Running simulation 888/5000
Running simulation 889/5000
Running simulation 890/5000
Running simulation 891/5000
Running simulation 892/5000
Running simulation 893/5000
Running simulation 894/5000
Running simulation 895/5000
Running simulation 896/5000
Running simulation 897/5000
Running simulation 898/5000
Running simulation 899/5000
Running simulation 900/5000
Running simulation 901/5000
Running simulation 902/5000
Running simulation 903/5000
Running simulation 904/5000
Running simulation 905/5000
Running simulation 906/5000
Running simulation 907/5000
Running simulation 908/5000
Running simulation 909/5000
Running simulation 910/5000
Running simulation 911/5000
Running simulation 912/5000
Running simulation 913/5000
Running simulation 914/5000
Running simulation 915/5000
Running simulation 916/5000
Running simulation 917/5000
Running simulation 918/5000
Running simulation 919/5000
Running simulation 920/5000
Running simulation 921/5000
Running simulation 922/5000
Running simulation 923/5000
Running simulation 924/5000
Running simulation 925/5000
Running simulation 926/5000
Running simulation 927/5000
Running simulation 928/5000
Running simulation 929/5000
Running simulation 930/5000
Running simulation 931/5000
Running simulation 932/5000
Running simulation 933/5000
Running simulation 934/5000
Running simulation 935/5000
Running simulation 936/5000
Running simulation 937/5000
Running simulation 938/5000
Running simulation 939/5000
Running simulation 940/5000
Running simulation 941/5000
Running simulation 942/5000
Running simulation 943/5000
Running simulation 944/5000
Running simulation 945/5000
Running simulation 946/5000
Running simulation 947/5000
Running simulation 948/5000
Running simulation 949/5000
Running simulation 950/5000
Running simulation 951/5000
Running simulation 952/5000
Running simulation 953/5000
Running simulation 954/5000
Running simulation 955/5000
Running simulation 956/5000
Running simulation 957/5000
Running simulation 958/5000
Running simulation 959/5000
Running simulation 960/5000
Running simulation 961/5000
Running simulation 962/5000
Running simulation 963/5000
Running simulation 964/5000
Running simulation 965/5000
Running simulation 966/5000
Running simulation 967/5000
Running simulation 968/5000
Running simulation 969/5000
Running simulation 970/5000
Running simulation 971/5000
Running simulation 972/5000
Running simulation 973/5000
Running simulation 974/5000
Running simulation 975/5000
Running simulation 976/5000
Running simulation 977/5000
Running simulation 978/5000
Running simulation 979/5000
Running simulation 980/5000
Running simulation 981/5000
Running simulation 982/5000
Running simulation 983/5000
Running simulation 984/5000
Running simulation 985/5000
Running simulation 986/5000
Running simulation 987/5000
Running simulation 988/5000
Running simulation 989/5000
Running simulation 990/5000
Running simulation 991/5000
Running simulation 992/5000
Running simulation 993/5000
Running simulation 994/5000
Running simulation 995/5000
Running simulation 996/5000
Running simulation 997/5000
Running simulation 998/5000
Running simulation 999/5000
Running simulation 1000/5000
Running simulation 1001/5000
Running simulation 1002/5000
Running simulation 1003/5000
Running simulation 1004/5000
Running simulation 1005/5000
Running simulation 1006/5000
Running simulation 1007/5000
Running simulation 1008/5000
Running simulation 1009/5000
Running simulation 1010/5000
Running simulation 1011/5000
Running simulation 1012/5000
Running simulation 1013/5000
Running simulation 1014/5000
Running simulation 1015/5000
Running simulation 1016/5000
Running simulation 1017/5000
Running simulation 1018/5000
Running simulation 1019/5000
Running simulation 1020/5000
Running simulation 1021/5000
Running simulation 1022/5000
Running simulation 1023/5000
Running simulation 1024/5000
Running simulation 1025/5000
Running simulation 1026/5000
Running simulation 1027/5000
Running simulation 1028/5000
Running simulation 1029/5000
Running simulation 1030/5000
Running simulation 1031/5000
Running simulation 1032/5000
Running simulation 1033/5000
Running simulation 1034/5000
Running simulation 1035/5000
Running simulation 1036/5000
Running simulation 1037/5000
Running simulation 1038/5000
Running simulation 1039/5000
Running simulation 1040/5000
Running simulation 1041/5000
Running simulation 1042/5000
Running simulation 1043/5000
Running simulation 1044/5000
Running simulation 1045/5000
Running simulation 1046/5000
Running simulation 1047/5000
Running simulation 1048/5000
Running simulation 1049/5000
Running simulation 1050/5000
Running simulation 1051/5000
Running simulation 1052/5000
Running simulation 1053/5000
Running simulation 1054/5000
Running simulation 1055/5000
Running simulation 1056/5000
Running simulation 1057/5000
Running simulation 1058/5000
Running simulation 1059/5000
Running simulation 1060/5000
Running simulation 1061/5000
Running simulation 1062/5000
Running simulation 1063/5000
Running simulation 1064/5000
Running simulation 1065/5000
Running simulation 1066/5000
Running simulation 1067/5000
Running simulation 1068/5000
Running simulation 1069/5000
Running simulation 1070/5000
Running simulation 1071/5000
Running simulation 1072/5000
Running simulation 1073/5000
Running simulation 1074/5000
Running simulation 1075/5000
Running simulation 1076/5000
Running simulation 1077/5000
Running simulation 1078/5000
Running simulation 1079/5000
Running simulation 1080/5000
Running simulation 1081/5000
Running simulation 1082/5000
Running simulation 1083/5000
Running simulation 1084/5000
Running simulation 1085/5000
Running simulation 1086/5000
Running simulation 1087/5000
Running simulation 1088/5000
Running simulation 1089/5000
Running simulation 1090/5000
Running simulation 1091/5000
Running simulation 1092/5000
Running simulation 1093/5000
Running simulation 1094/5000
Running simulation 1095/5000
Running simulation 1096/5000
Running simulation 1097/5000
Running simulation 1098/5000
Running simulation 1099/5000
Running simulation 1100/5000
Running simulation 1101/5000
Running simulation 1102/5000
Running simulation 1103/5000
Running simulation 1104/5000
Running simulation 1105/5000
Running simulation 1106/5000
Running simulation 1107/5000
Running simulation 1108/5000
Running simulation 1109/5000
Running simulation 1110/5000
Running simulation 1111/5000
Running simulation 1112/5000
Running simulation 1113/5000
Running simulation 1114/5000
Running simulation 1115/5000
Running simulation 1116/5000
Running simulation 1117/5000
Running simulation 1118/5000
Running simulation 1119/5000
Running simulation 1120/5000
Running simulation 1121/5000
Running simulation 1122/5000
Running simulation 1123/5000
Running simulation 1124/5000
Running simulation 1125/5000
Running simulation 1126/5000
Running simulation 1127/5000
Running simulation 1128/5000
Running simulation 1129/5000
Running simulation 1130/5000
Running simulation 1131/5000
Running simulation 1132/5000
Running simulation 1133/5000
Running simulation 1134/5000
Running simulation 1135/5000
Running simulation 1136/5000
Running simulation 1137/5000
Running simulation 1138/5000
Running simulation 1139/5000
Running simulation 1140/5000
Running simulation 1141/5000
Running simulation 1142/5000
Running simulation 1143/5000
Running simulation 1144/5000
Running simulation 1145/5000
Running simulation 1146/5000
Running simulation 1147/5000
Running simulation 1148/5000
Running simulation 1149/5000
Running simulation 1150/5000
Running simulation 1151/5000
Running simulation 1152/5000
Running simulation 1153/5000
Running simulation 1154/5000
Running simulation 1155/5000
Running simulation 1156/5000
Running simulation 1157/5000
Running simulation 1158/5000
Running simulation 1159/5000
Running simulation 1160/5000
Running simulation 1161/5000
Running simulation 1162/5000
Running simulation 1163/5000
Running simulation 1164/5000
Running simulation 1165/5000
Running simulation 1166/5000
Running simulation 1167/5000
Running simulation 1168/5000
Running simulation 1169/5000
Running simulation 1170/5000
Running simulation 1171/5000
Running simulation 1172/5000
Running simulation 1173/5000
Running simulation 1174/5000
Running simulation 1175/5000
Running simulation 1176/5000
Running simulation 1177/5000
Running simulation 1178/5000
Running simulation 1179/5000
Running simulation 1180/5000
Running simulation 1181/5000
Running simulation 1182/5000
Running simulation 1183/5000
Running simulation 1184/5000
Running simulation 1185/5000
Running simulation 1186/5000
Running simulation 1187/5000
Running simulation 1188/5000
Running simulation 1189/5000
Running simulation 1190/5000
Running simulation 1191/5000
Running simulation 1192/5000
Running simulation 1193/5000
Running simulation 1194/5000
Running simulation 1195/5000
Running simulation 1196/5000
Running simulation 1197/5000
Running simulation 1198/5000
Running simulation 1199/5000
Running simulation 1200/5000
Running simulation 1201/5000
Running simulation 1202/5000
Running simulation 1203/5000
Running simulation 1204/5000
Running simulation 1205/5000
Running simulation 1206/5000
Running simulation 1207/5000
Running simulation 1208/5000
Running simulation 1209/5000
Running simulation 1210/5000
Running simulation 1211/5000
Running simulation 1212/5000
Running simulation 1213/5000
Running simulation 1214/5000
Running simulation 1215/5000
Running simulation 1216/5000
Running simulation 1217/5000
Running simulation 1218/5000
Running simulation 1219/5000
Running simulation 1220/5000
Running simulation 1221/5000
Running simulation 1222/5000
Running simulation 1223/5000
Running simulation 1224/5000
Running simulation 1225/5000
Running simulation 1226/5000
Running simulation 1227/5000
Running simulation 1228/5000
Running simulation 1229/5000
Running simulation 1230/5000
Running simulation 1231/5000
Running simulation 1232/5000
Running simulation 1233/5000
Running simulation 1234/5000
Running simulation 1235/5000
Running simulation 1236/5000
Running simulation 1237/5000
Running simulation 1238/5000
Running simulation 1239/5000
Running simulation 1240/5000
Running simulation 1241/5000
Running simulation 1242/5000
Running simulation 1243/5000
Running simulation 1244/5000
Running simulation 1245/5000
Running simulation 1246/5000
Running simulation 1247/5000
Running simulation 1248/5000
Running simulation 1249/5000
Running simulation 1250/5000
Running simulation 1251/5000
Running simulation 1252/5000
Running simulation 1253/5000
Running simulation 1254/5000
Running simulation 1255/5000
Running simulation 1256/5000
Running simulation 1257/5000
Running simulation 1258/5000
Running simulation 1259/5000
Running simulation 1260/5000
Running simulation 1261/5000
Running simulation 1262/5000
Running simulation 1263/5000
Running simulation 1264/5000
Running simulation 1265/5000
Running simulation 1266/5000
Running simulation 1267/5000
Running simulation 1268/5000
Running simulation 1269/5000
Running simulation 1270/5000
Running simulation 1271/5000
Running simulation 1272/5000
Running simulation 1273/5000
Running simulation 1274/5000
Running simulation 1275/5000
Running simulation 1276/5000
Running simulation 1277/5000
Running simulation 1278/5000
Running simulation 1279/5000
Running simulation 1280/5000
Running simulation 1281/5000
Running simulation 1282/5000
Running simulation 1283/5000
Running simulation 1284/5000
Running simulation 1285/5000
Running simulation 1286/5000
Running simulation 1287/5000
Running simulation 1288/5000
Running simulation 1289/5000
Running simulation 1290/5000
Running simulation 1291/5000
Running simulation 1292/5000
Running simulation 1293/5000
Running simulation 1294/5000
Running simulation 1295/5000
Running simulation 1296/5000
Running simulation 1297/5000
Running simulation 1298/5000
Running simulation 1299/5000
Running simulation 1300/5000
Running simulation 1301/5000
Running simulation 1302/5000
Running simulation 1303/5000
Running simulation 1304/5000
Running simulation 1305/5000
Running simulation 1306/5000
Running simulation 1307/5000
Running simulation 1308/5000
Running simulation 1309/5000
Running simulation 1310/5000
Running simulation 1311/5000
Running simulation 1312/5000
Running simulation 1313/5000
Running simulation 1314/5000
Running simulation 1315/5000
Running simulation 1316/5000
Running simulation 1317/5000
Running simulation 1318/5000
Running simulation 1319/5000
Running simulation 1320/5000
Running simulation 1321/5000
Running simulation 1322/5000
Running simulation 1323/5000
Running simulation 1324/5000
Running simulation 1325/5000
Running simulation 1326/5000
Running simulation 1327/5000
Running simulation 1328/5000
Running simulation 1329/5000
Running simulation 1330/5000
Running simulation 1331/5000
Running simulation 1332/5000
Running simulation 1333/5000
Running simulation 1334/5000
Running simulation 1335/5000
Running simulation 1336/5000
Running simulation 1337/5000
Running simulation 1338/5000
Running simulation 1339/5000
Running simulation 1340/5000
Running simulation 1341/5000
Running simulation 1342/5000
Running simulation 1343/5000
Running simulation 1344/5000
Running simulation 1345/5000
Running simulation 1346/5000
Running simulation 1347/5000
Running simulation 1348/5000
Running simulation 1349/5000
Running simulation 1350/5000
Running simulation 1351/5000
Running simulation 1352/5000
Running simulation 1353/5000
Running simulation 1354/5000
Running simulation 1355/5000
Running simulation 1356/5000
Running simulation 1357/5000
Running simulation 1358/5000
Running simulation 1359/5000
Running simulation 1360/5000
Running simulation 1361/5000
Running simulation 1362/5000
Running simulation 1363/5000
Running simulation 1364/5000
Running simulation 1365/5000
Running simulation 1366/5000
Running simulation 1367/5000
Running simulation 1368/5000
Running simulation 1369/5000
Running simulation 1370/5000
Running simulation 1371/5000
Running simulation 1372/5000
Running simulation 1373/5000
Running simulation 1374/5000
Running simulation 1375/5000
Running simulation 1376/5000
Running simulation 1377/5000
Running simulation 1378/5000
Running simulation 1379/5000
Running simulation 1380/5000
Running simulation 1381/5000
Running simulation 1382/5000
Running simulation 1383/5000
Running simulation 1384/5000
Running simulation 1385/5000
Running simulation 1386/5000
Running simulation 1387/5000
Running simulation 1388/5000
Running simulation 1389/5000
Running simulation 1390/5000
Running simulation 1391/5000
Running simulation 1392/5000
Running simulation 1393/5000
Running simulation 1394/5000
Running simulation 1395/5000
Running simulation 1396/5000
Running simulation 1397/5000
Running simulation 1398/5000
Running simulation 1399/5000
Running simulation 1400/5000
Running simulation 1401/5000
Running simulation 1402/5000
Running simulation 1403/5000
Running simulation 1404/5000
Running simulation 1405/5000
Running simulation 1406/5000
Running simulation 1407/5000
Running simulation 1408/5000
Running simulation 1409/5000
Running simulation 1410/5000
Running simulation 1411/5000
Running simulation 1412/5000
Running simulation 1413/5000
Running simulation 1414/5000
Running simulation 1415/5000
Running simulation 1416/5000
Running simulation 1417/5000
Running simulation 1418/5000
Running simulation 1419/5000
Running simulation 1420/5000
Running simulation 1421/5000
Running simulation 1422/5000
Running simulation 1423/5000
Running simulation 1424/5000
Running simulation 1425/5000
Running simulation 1426/5000
Running simulation 1427/5000
Running simulation 1428/5000
Running simulation 1429/5000
Running simulation 1430/5000
Running simulation 1431/5000
Running simulation 1432/5000
Running simulation 1433/5000
Running simulation 1434/5000
Running simulation 1435/5000
Running simulation 1436/5000
Running simulation 1437/5000
Running simulation 1438/5000
Running simulation 1439/5000
Running simulation 1440/5000
Running simulation 1441/5000
Running simulation 1442/5000
Running simulation 1443/5000
Running simulation 1444/5000
Running simulation 1445/5000
Running simulation 1446/5000
Running simulation 1447/5000
Running simulation 1448/5000
Running simulation 1449/5000
Running simulation 1450/5000
Running simulation 1451/5000
Running simulation 1452/5000
Running simulation 1453/5000
Running simulation 1454/5000
Running simulation 1455/5000
Running simulation 1456/5000
Running simulation 1457/5000
Running simulation 1458/5000
Running simulation 1459/5000
Running simulation 1460/5000
Running simulation 1461/5000
Running simulation 1462/5000
Running simulation 1463/5000
Running simulation 1464/5000
Running simulation 1465/5000
Running simulation 1466/5000
Running simulation 1467/5000
Running simulation 1468/5000
Running simulation 1469/5000
Running simulation 1470/5000
Running simulation 1471/5000
Running simulation 1472/5000
Running simulation 1473/5000
Running simulation 1474/5000
Running simulation 1475/5000
Running simulation 1476/5000
Running simulation 1477/5000
Running simulation 1478/5000
Running simulation 1479/5000
Running simulation 1480/5000
Running simulation 1481/5000
Running simulation 1482/5000
Running simulation 1483/5000
Running simulation 1484/5000
Running simulation 1485/5000
Running simulation 1486/5000
Running simulation 1487/5000
Running simulation 1488/5000
Running simulation 1489/5000
Running simulation 1490/5000
Running simulation 1491/5000
Running simulation 1492/5000
Running simulation 1493/5000
Running simulation 1494/5000
Running simulation 1495/5000
Running simulation 1496/5000
Running simulation 1497/5000
Running simulation 1498/5000
Running simulation 1499/5000
Running simulation 1500/5000
Running simulation 1501/5000
Running simulation 1502/5000
Running simulation 1503/5000
Running simulation 1504/5000
Running simulation 1505/5000
Running simulation 1506/5000
Running simulation 1507/5000
Running simulation 1508/5000
Running simulation 1509/5000
Running simulation 1510/5000
Running simulation 1511/5000
Running simulation 1512/5000
Running simulation 1513/5000
Running simulation 1514/5000
Running simulation 1515/5000
Running simulation 1516/5000
Running simulation 1517/5000
Running simulation 1518/5000
Running simulation 1519/5000
Running simulation 1520/5000
Running simulation 1521/5000
Running simulation 1522/5000
Running simulation 1523/5000
Running simulation 1524/5000
Running simulation 1525/5000
Running simulation 1526/5000
Running simulation 1527/5000
Running simulation 1528/5000
Running simulation 1529/5000
Running simulation 1530/5000
Running simulation 1531/5000
Running simulation 1532/5000
Running simulation 1533/5000
Running simulation 1534/5000
Running simulation 1535/5000
Running simulation 1536/5000
Running simulation 1537/5000
Running simulation 1538/5000
Running simulation 1539/5000
Running simulation 1540/5000
Running simulation 1541/5000
Running simulation 1542/5000
Running simulation 1543/5000
Running simulation 1544/5000
Running simulation 1545/5000
Running simulation 1546/5000
Running simulation 1547/5000
Running simulation 1548/5000
Running simulation 1549/5000
Running simulation 1550/5000
Running simulation 1551/5000
Running simulation 1552/5000
Running simulation 1553/5000
Running simulation 1554/5000
Running simulation 1555/5000
Running simulation 1556/5000
Running simulation 1557/5000
Running simulation 1558/5000
Running simulation 1559/5000
Running simulation 1560/5000
Running simulation 1561/5000
Running simulation 1562/5000
Running simulation 1563/5000
Running simulation 1564/5000
Running simulation 1565/5000
Running simulation 1566/5000
Running simulation 1567/5000
Running simulation 1568/5000
Running simulation 1569/5000
Running simulation 1570/5000
Running simulation 1571/5000
Running simulation 1572/5000
Running simulation 1573/5000
Running simulation 1574/5000
Running simulation 1575/5000
Running simulation 1576/5000
Running simulation 1577/5000
Running simulation 1578/5000
Running simulation 1579/5000
Running simulation 1580/5000
Running simulation 1581/5000
Running simulation 1582/5000
Running simulation 1583/5000
Running simulation 1584/5000
Running simulation 1585/5000
Running simulation 1586/5000
Running simulation 1587/5000
Running simulation 1588/5000
Running simulation 1589/5000
Running simulation 1590/5000
Running simulation 1591/5000
Running simulation 1592/5000
Running simulation 1593/5000
Running simulation 1594/5000
Running simulation 1595/5000
Running simulation 1596/5000
Running simulation 1597/5000
Running simulation 1598/5000
Running simulation 1599/5000
Running simulation 1600/5000
Running simulation 1601/5000
Running simulation 1602/5000
Running simulation 1603/5000
Running simulation 1604/5000
Running simulation 1605/5000
Running simulation 1606/5000
Running simulation 1607/5000
Running simulation 1608/5000
Running simulation 1609/5000
Running simulation 1610/5000
Running simulation 1611/5000
Running simulation 1612/5000
Running simulation 1613/5000
Running simulation 1614/5000
Running simulation 1615/5000
Running simulation 1616/5000
Running simulation 1617/5000
Running simulation 1618/5000
Running simulation 1619/5000
Running simulation 1620/5000
Running simulation 1621/5000
Running simulation 1622/5000
Running simulation 1623/5000
Running simulation 1624/5000
Running simulation 1625/5000
Running simulation 1626/5000
Running simulation 1627/5000
Running simulation 1628/5000
Running simulation 1629/5000
Running simulation 1630/5000
Running simulation 1631/5000
Running simulation 1632/5000
Running simulation 1633/5000
Running simulation 1634/5000
Running simulation 1635/5000
Running simulation 1636/5000
Running simulation 1637/5000
Running simulation 1638/5000
Running simulation 1639/5000
Running simulation 1640/5000
Running simulation 1641/5000
Running simulation 1642/5000
Running simulation 1643/5000
Running simulation 1644/5000
Running simulation 1645/5000
Running simulation 1646/5000
Running simulation 1647/5000
Running simulation 1648/5000
Running simulation 1649/5000
Running simulation 1650/5000
Running simulation 1651/5000
Running simulation 1652/5000
Running simulation 1653/5000
Running simulation 1654/5000
Running simulation 1655/5000
Running simulation 1656/5000
Running simulation 1657/5000
Running simulation 1658/5000
Running simulation 1659/5000
Running simulation 1660/5000
Running simulation 1661/5000
Running simulation 1662/5000
Running simulation 1663/5000
Running simulation 1664/5000
Running simulation 1665/5000
Running simulation 1666/5000
Running simulation 1667/5000
Running simulation 1668/5000
Running simulation 1669/5000
Running simulation 1670/5000
Running simulation 1671/5000
Running simulation 1672/5000
Running simulation 1673/5000
Running simulation 1674/5000
Running simulation 1675/5000
Running simulation 1676/5000
Running simulation 1677/5000
Running simulation 1678/5000
Running simulation 1679/5000
Running simulation 1680/5000
Running simulation 1681/5000
Running simulation 1682/5000
Running simulation 1683/5000
Running simulation 1684/5000
Running simulation 1685/5000
Running simulation 1686/5000
Running simulation 1687/5000
Running simulation 1688/5000
Running simulation 1689/5000
Running simulation 1690/5000
Running simulation 1691/5000
Running simulation 1692/5000
Running simulation 1693/5000
Running simulation 1694/5000
Running simulation 1695/5000
Running simulation 1696/5000
Running simulation 1697/5000
Running simulation 1698/5000
Running simulation 1699/5000
Running simulation 1700/5000
Running simulation 1701/5000
Running simulation 1702/5000
Running simulation 1703/5000
Running simulation 1704/5000
Running simulation 1705/5000
Running simulation 1706/5000
Running simulation 1707/5000
Running simulation 1708/5000
Running simulation 1709/5000
Running simulation 1710/5000
Running simulation 1711/5000
Running simulation 1712/5000
Running simulation 1713/5000
Running simulation 1714/5000
Running simulation 1715/5000
Running simulation 1716/5000
Running simulation 1717/5000
Running simulation 1718/5000
Running simulation 1719/5000
Running simulation 1720/5000
Running simulation 1721/5000
Running simulation 1722/5000
Running simulation 1723/5000
Running simulation 1724/5000
Running simulation 1725/5000
Running simulation 1726/5000
Running simulation 1727/5000
Running simulation 1728/5000
Running simulation 1729/5000
Running simulation 1730/5000
Running simulation 1731/5000
Running simulation 1732/5000
Running simulation 1733/5000
Running simulation 1734/5000
Running simulation 1735/5000
Running simulation 1736/5000
Running simulation 1737/5000
Running simulation 1738/5000
Running simulation 1739/5000
Running simulation 1740/5000
Running simulation 1741/5000
Running simulation 1742/5000
Running simulation 1743/5000
Running simulation 1744/5000
Running simulation 1745/5000
Running simulation 1746/5000
Running simulation 1747/5000
Running simulation 1748/5000
Running simulation 1749/5000
Running simulation 1750/5000
Running simulation 1751/5000
Running simulation 1752/5000
Running simulation 1753/5000
Running simulation 1754/5000
Running simulation 1755/5000
Running simulation 1756/5000
Running simulation 1757/5000
Running simulation 1758/5000
Running simulation 1759/5000
Running simulation 1760/5000
Running simulation 1761/5000
Running simulation 1762/5000
Running simulation 1763/5000
Running simulation 1764/5000
Running simulation 1765/5000
Running simulation 1766/5000
Running simulation 1767/5000
Running simulation 1768/5000
Running simulation 1769/5000
Running simulation 1770/5000
Running simulation 1771/5000
Running simulation 1772/5000
Running simulation 1773/5000
Running simulation 1774/5000
Running simulation 1775/5000
Running simulation 1776/5000
Running simulation 1777/5000
Running simulation 1778/5000
Running simulation 1779/5000
Running simulation 1780/5000
Running simulation 1781/5000
Running simulation 1782/5000
Running simulation 1783/5000
Running simulation 1784/5000
Running simulation 1785/5000
Running simulation 1786/5000
Running simulation 1787/5000
Running simulation 1788/5000
Running simulation 1789/5000
Running simulation 1790/5000
Running simulation 1791/5000
Running simulation 1792/5000
Running simulation 1793/5000
Running simulation 1794/5000
Running simulation 1795/5000
Running simulation 1796/5000
Running simulation 1797/5000
Running simulation 1798/5000
Running simulation 1799/5000
Running simulation 1800/5000
Running simulation 1801/5000
Running simulation 1802/5000
Running simulation 1803/5000
Running simulation 1804/5000
Running simulation 1805/5000
Running simulation 1806/5000
Running simulation 1807/5000
Running simulation 1808/5000
Running simulation 1809/5000
Running simulation 1810/5000
Running simulation 1811/5000
Running simulation 1812/5000
Running simulation 1813/5000
Running simulation 1814/5000
Running simulation 1815/5000
Running simulation 1816/5000
Running simulation 1817/5000
Running simulation 1818/5000
Running simulation 1819/5000
Running simulation 1820/5000
Running simulation 1821/5000
Running simulation 1822/5000
Running simulation 1823/5000
Running simulation 1824/5000
Running simulation 1825/5000
Running simulation 1826/5000
Running simulation 1827/5000
Running simulation 1828/5000
Running simulation 1829/5000
Running simulation 1830/5000
Running simulation 1831/5000
Running simulation 1832/5000
Running simulation 1833/5000
Running simulation 1834/5000
Running simulation 1835/5000
Running simulation 1836/5000
Running simulation 1837/5000
Running simulation 1838/5000
Running simulation 1839/5000
Running simulation 1840/5000
Running simulation 1841/5000
Running simulation 1842/5000
Running simulation 1843/5000
Running simulation 1844/5000
Running simulation 1845/5000
Running simulation 1846/5000
Running simulation 1847/5000
Running simulation 1848/5000
Running simulation 1849/5000
Running simulation 1850/5000
Running simulation 1851/5000
Running simulation 1852/5000
Running simulation 1853/5000
Running simulation 1854/5000
Running simulation 1855/5000
Running simulation 1856/5000
Running simulation 1857/5000
Running simulation 1858/5000
Running simulation 1859/5000
Running simulation 1860/5000
Running simulation 1861/5000
Running simulation 1862/5000
Running simulation 1863/5000
Running simulation 1864/5000
Running simulation 1865/5000
Running simulation 1866/5000
Running simulation 1867/5000
Running simulation 1868/5000
Running simulation 1869/5000
Running simulation 1870/5000
Running simulation 1871/5000
Running simulation 1872/5000
Running simulation 1873/5000
Running simulation 1874/5000
Running simulation 1875/5000
Running simulation 1876/5000
Running simulation 1877/5000
Running simulation 1878/5000
Running simulation 1879/5000
Running simulation 1880/5000
Running simulation 1881/5000
Running simulation 1882/5000
Running simulation 1883/5000
Running simulation 1884/5000
Running simulation 1885/5000
Running simulation 1886/5000
Running simulation 1887/5000
Running simulation 1888/5000
Running simulation 1889/5000
Running simulation 1890/5000
Running simulation 1891/5000
Running simulation 1892/5000
Running simulation 1893/5000
Running simulation 1894/5000
Running simulation 1895/5000
Running simulation 1896/5000
Running simulation 1897/5000
Running simulation 1898/5000
Running simulation 1899/5000
Running simulation 1900/5000
Running simulation 1901/5000
Running simulation 1902/5000
Running simulation 1903/5000
Running simulation 1904/5000
Running simulation 1905/5000
Running simulation 1906/5000
Running simulation 1907/5000
Running simulation 1908/5000
Running simulation 1909/5000
Running simulation 1910/5000
Running simulation 1911/5000
Running simulation 1912/5000
Running simulation 1913/5000
Running simulation 1914/5000
Running simulation 1915/5000
Running simulation 1916/5000
Running simulation 1917/5000
Running simulation 1918/5000
Running simulation 1919/5000
Running simulation 1920/5000
Running simulation 1921/5000
Running simulation 1922/5000
Running simulation 1923/5000
Running simulation 1924/5000
Running simulation 1925/5000
Running simulation 1926/5000
Running simulation 1927/5000
Running simulation 1928/5000
Running simulation 1929/5000
Running simulation 1930/5000
Running simulation 1931/5000
Running simulation 1932/5000
Running simulation 1933/5000
Running simulation 1934/5000
Running simulation 1935/5000
Running simulation 1936/5000
Running simulation 1937/5000
Running simulation 1938/5000
Running simulation 1939/5000
Running simulation 1940/5000
Running simulation 1941/5000
Running simulation 1942/5000
Running simulation 1943/5000
Running simulation 1944/5000
Running simulation 1945/5000
Running simulation 1946/5000
Running simulation 1947/5000
Running simulation 1948/5000
Running simulation 1949/5000
Running simulation 1950/5000
Running simulation 1951/5000
Running simulation 1952/5000
Running simulation 1953/5000
Running simulation 1954/5000
Running simulation 1955/5000
Running simulation 1956/5000
Running simulation 1957/5000
Running simulation 1958/5000
Running simulation 1959/5000
Running simulation 1960/5000
Running simulation 1961/5000
Running simulation 1962/5000
Running simulation 1963/5000
Running simulation 1964/5000
Running simulation 1965/5000
Running simulation 1966/5000
Running simulation 1967/5000
Running simulation 1968/5000
Running simulation 1969/5000
Running simulation 1970/5000
Running simulation 1971/5000
Running simulation 1972/5000
Running simulation 1973/5000
Running simulation 1974/5000
Running simulation 1975/5000
Running simulation 1976/5000
Running simulation 1977/5000
Running simulation 1978/5000
Running simulation 1979/5000
Running simulation 1980/5000
Running simulation 1981/5000
Running simulation 1982/5000
Running simulation 1983/5000
Running simulation 1984/5000
Running simulation 1985/5000
Running simulation 1986/5000
Running simulation 1987/5000
Running simulation 1988/5000
Running simulation 1989/5000
Running simulation 1990/5000
Running simulation 1991/5000
Running simulation 1992/5000
Running simulation 1993/5000
Running simulation 1994/5000
Running simulation 1995/5000
Running simulation 1996/5000
Running simulation 1997/5000
Running simulation 1998/5000
Running simulation 1999/5000
Running simulation 2000/5000
Running simulation 2001/5000
Running simulation 2002/5000
Running simulation 2003/5000
Running simulation 2004/5000
Running simulation 2005/5000
Running simulation 2006/5000
Running simulation 2007/5000
Running simulation 2008/5000
Running simulation 2009/5000
Running simulation 2010/5000
Running simulation 2011/5000
Running simulation 2012/5000
Running simulation 2013/5000
Running simulation 2014/5000
Running simulation 2015/5000
Running simulation 2016/5000
Running simulation 2017/5000
Running simulation 2018/5000
Running simulation 2019/5000
Running simulation 2020/5000
Running simulation 2021/5000
Running simulation 2022/5000
Running simulation 2023/5000
Running simulation 2024/5000
Running simulation 2025/5000
Running simulation 2026/5000
Running simulation 2027/5000
Running simulation 2028/5000
Running simulation 2029/5000
Running simulation 2030/5000
Running simulation 2031/5000
Running simulation 2032/5000
Running simulation 2033/5000
Running simulation 2034/5000
Running simulation 2035/5000
Running simulation 2036/5000
Running simulation 2037/5000
Running simulation 2038/5000
Running simulation 2039/5000
Running simulation 2040/5000
Running simulation 2041/5000
Running simulation 2042/5000
Running simulation 2043/5000
Running simulation 2044/5000
Running simulation 2045/5000
Running simulation 2046/5000
Running simulation 2047/5000
Running simulation 2048/5000
Running simulation 2049/5000
Running simulation 2050/5000
Running simulation 2051/5000
Running simulation 2052/5000
Running simulation 2053/5000
Running simulation 2054/5000
Running simulation 2055/5000
Running simulation 2056/5000
Running simulation 2057/5000
Running simulation 2058/5000
Running simulation 2059/5000
Running simulation 2060/5000
Running simulation 2061/5000
Running simulation 2062/5000
Running simulation 2063/5000
Running simulation 2064/5000
Running simulation 2065/5000
Running simulation 2066/5000
Running simulation 2067/5000
Running simulation 2068/5000
Running simulation 2069/5000
Running simulation 2070/5000
Running simulation 2071/5000
Running simulation 2072/5000
Running simulation 2073/5000
Running simulation 2074/5000
Running simulation 2075/5000
Running simulation 2076/5000
Running simulation 2077/5000
Running simulation 2078/5000
Running simulation 2079/5000
Running simulation 2080/5000
Running simulation 2081/5000
Running simulation 2082/5000
Running simulation 2083/5000
Running simulation 2084/5000
Running simulation 2085/5000
Running simulation 2086/5000
Running simulation 2087/5000
Running simulation 2088/5000
Running simulation 2089/5000
Running simulation 2090/5000
Running simulation 2091/5000
Running simulation 2092/5000
Running simulation 2093/5000
Running simulation 2094/5000
Running simulation 2095/5000
Running simulation 2096/5000
Running simulation 2097/5000
Running simulation 2098/5000
Running simulation 2099/5000
Running simulation 2100/5000
Running simulation 2101/5000
Running simulation 2102/5000
Running simulation 2103/5000
Running simulation 2104/5000
Running simulation 2105/5000
Running simulation 2106/5000
Running simulation 2107/5000
Running simulation 2108/5000
Running simulation 2109/5000
Running simulation 2110/5000
Running simulation 2111/5000
Running simulation 2112/5000
Running simulation 2113/5000
Running simulation 2114/5000
Running simulation 2115/5000
Running simulation 2116/5000
Running simulation 2117/5000
Running simulation 2118/5000
Running simulation 2119/5000
Running simulation 2120/5000
Running simulation 2121/5000
Running simulation 2122/5000
Running simulation 2123/5000
Running simulation 2124/5000
Running simulation 2125/5000
Running simulation 2126/5000
Running simulation 2127/5000
Running simulation 2128/5000
Running simulation 2129/5000
Running simulation 2130/5000
Running simulation 2131/5000
Running simulation 2132/5000
Running simulation 2133/5000
Running simulation 2134/5000
Running simulation 2135/5000
Running simulation 2136/5000
Running simulation 2137/5000
Running simulation 2138/5000
Running simulation 2139/5000
Running simulation 2140/5000
Running simulation 2141/5000
Running simulation 2142/5000
Running simulation 2143/5000
Running simulation 2144/5000
Running simulation 2145/5000
Running simulation 2146/5000
Running simulation 2147/5000
Running simulation 2148/5000
Running simulation 2149/5000
Running simulation 2150/5000
Running simulation 2151/5000
Running simulation 2152/5000
Running simulation 2153/5000
Running simulation 2154/5000
Running simulation 2155/5000
Running simulation 2156/5000
Running simulation 2157/5000
Running simulation 2158/5000
Running simulation 2159/5000
Running simulation 2160/5000
Running simulation 2161/5000
Running simulation 2162/5000
Running simulation 2163/5000
Running simulation 2164/5000
Running simulation 2165/5000
Running simulation 2166/5000
Running simulation 2167/5000
Running simulation 2168/5000
Running simulation 2169/5000
Running simulation 2170/5000
Running simulation 2171/5000
Running simulation 2172/5000
Running simulation 2173/5000
Running simulation 2174/5000
Running simulation 2175/5000
Running simulation 2176/5000
Running simulation 2177/5000
Running simulation 2178/5000
Running simulation 2179/5000
Running simulation 2180/5000
Running simulation 2181/5000
Running simulation 2182/5000
Running simulation 2183/5000
Running simulation 2184/5000
Running simulation 2185/5000
Running simulation 2186/5000
Running simulation 2187/5000
Running simulation 2188/5000
Running simulation 2189/5000
Running simulation 2190/5000
Running simulation 2191/5000
Running simulation 2192/5000
Running simulation 2193/5000
Running simulation 2194/5000
Running simulation 2195/5000
Running simulation 2196/5000
Running simulation 2197/5000
Running simulation 2198/5000
Running simulation 2199/5000
Running simulation 2200/5000
Running simulation 2201/5000
Running simulation 2202/5000
Running simulation 2203/5000
Running simulation 2204/5000
Running simulation 2205/5000
Running simulation 2206/5000
Running simulation 2207/5000
Running simulation 2208/5000
Running simulation 2209/5000
Running simulation 2210/5000
Running simulation 2211/5000
Running simulation 2212/5000
Running simulation 2213/5000
Running simulation 2214/5000
Running simulation 2215/5000
Running simulation 2216/5000
Running simulation 2217/5000
Running simulation 2218/5000
Running simulation 2219/5000
Running simulation 2220/5000
Running simulation 2221/5000
Running simulation 2222/5000
Running simulation 2223/5000
Running simulation 2224/5000
Running simulation 2225/5000
Running simulation 2226/5000
Running simulation 2227/5000
Running simulation 2228/5000
Running simulation 2229/5000
Running simulation 2230/5000
Running simulation 2231/5000
Running simulation 2232/5000
Running simulation 2233/5000
Running simulation 2234/5000
Running simulation 2235/5000
Running simulation 2236/5000
Running simulation 2237/5000
Running simulation 2238/5000
Running simulation 2239/5000
Running simulation 2240/5000
Running simulation 2241/5000
Running simulation 2242/5000
Running simulation 2243/5000
Running simulation 2244/5000
Running simulation 2245/5000
Running simulation 2246/5000
Running simulation 2247/5000
Running simulation 2248/5000
Running simulation 2249/5000
Running simulation 2250/5000
Running simulation 2251/5000
Running simulation 2252/5000
Running simulation 2253/5000
Running simulation 2254/5000
Running simulation 2255/5000
Running simulation 2256/5000
Running simulation 2257/5000
Running simulation 2258/5000
Running simulation 2259/5000
Running simulation 2260/5000
Running simulation 2261/5000
Running simulation 2262/5000
Running simulation 2263/5000
Running simulation 2264/5000
Running simulation 2265/5000
Running simulation 2266/5000
Running simulation 2267/5000
Running simulation 2268/5000
Running simulation 2269/5000
Running simulation 2270/5000
Running simulation 2271/5000
Running simulation 2272/5000
Running simulation 2273/5000
Running simulation 2274/5000
Running simulation 2275/5000
Running simulation 2276/5000
Running simulation 2277/5000
Running simulation 2278/5000
Running simulation 2279/5000
Running simulation 2280/5000
Running simulation 2281/5000
Running simulation 2282/5000
Running simulation 2283/5000
Running simulation 2284/5000
Running simulation 2285/5000
Running simulation 2286/5000
Running simulation 2287/5000
Running simulation 2288/5000
Running simulation 2289/5000
Running simulation 2290/5000
Running simulation 2291/5000
Running simulation 2292/5000
Running simulation 2293/5000
Running simulation 2294/5000
Running simulation 2295/5000
Running simulation 2296/5000
Running simulation 2297/5000
Running simulation 2298/5000
Running simulation 2299/5000
Running simulation 2300/5000
Running simulation 2301/5000
Running simulation 2302/5000
Running simulation 2303/5000
Running simulation 2304/5000
Running simulation 2305/5000
Running simulation 2306/5000
Running simulation 2307/5000
Running simulation 2308/5000
Running simulation 2309/5000
Running simulation 2310/5000
Running simulation 2311/5000
Running simulation 2312/5000
Running simulation 2313/5000
Running simulation 2314/5000
Running simulation 2315/5000
Running simulation 2316/5000
Running simulation 2317/5000
Running simulation 2318/5000
Running simulation 2319/5000
Running simulation 2320/5000
Running simulation 2321/5000
Running simulation 2322/5000
Running simulation 2323/5000
Running simulation 2324/5000
Running simulation 2325/5000
Running simulation 2326/5000
Running simulation 2327/5000
Running simulation 2328/5000
Running simulation 2329/5000
Running simulation 2330/5000
Running simulation 2331/5000
Running simulation 2332/5000
Running simulation 2333/5000
Running simulation 2334/5000
Running simulation 2335/5000
Running simulation 2336/5000
Running simulation 2337/5000
Running simulation 2338/5000
Running simulation 2339/5000
Running simulation 2340/5000
Running simulation 2341/5000
Running simulation 2342/5000
Running simulation 2343/5000
Running simulation 2344/5000
Running simulation 2345/5000
Running simulation 2346/5000
Running simulation 2347/5000
Running simulation 2348/5000
Running simulation 2349/5000
Running simulation 2350/5000
Running simulation 2351/5000
Running simulation 2352/5000
Running simulation 2353/5000
Running simulation 2354/5000
Running simulation 2355/5000
Running simulation 2356/5000
Running simulation 2357/5000
Running simulation 2358/5000
Running simulation 2359/5000
Running simulation 2360/5000
Running simulation 2361/5000
Running simulation 2362/5000
Running simulation 2363/5000
Running simulation 2364/5000
Running simulation 2365/5000
Running simulation 2366/5000
Running simulation 2367/5000
Running simulation 2368/5000
Running simulation 2369/5000
Running simulation 2370/5000
Running simulation 2371/5000
Running simulation 2372/5000
Running simulation 2373/5000
Running simulation 2374/5000
Running simulation 2375/5000
Running simulation 2376/5000
Running simulation 2377/5000
Running simulation 2378/5000
Running simulation 2379/5000
Running simulation 2380/5000
Running simulation 2381/5000
Running simulation 2382/5000
Running simulation 2383/5000
Running simulation 2384/5000
Running simulation 2385/5000
Running simulation 2386/5000
Running simulation 2387/5000
Running simulation 2388/5000
Running simulation 2389/5000
Running simulation 2390/5000
Running simulation 2391/5000
Running simulation 2392/5000
Running simulation 2393/5000
Running simulation 2394/5000
Running simulation 2395/5000
Running simulation 2396/5000
Running simulation 2397/5000
Running simulation 2398/5000
Running simulation 2399/5000
Running simulation 2400/5000
Running simulation 2401/5000
Running simulation 2402/5000
Running simulation 2403/5000
Running simulation 2404/5000
Running simulation 2405/5000
Running simulation 2406/5000
Running simulation 2407/5000
Running simulation 2408/5000
Running simulation 2409/5000
Running simulation 2410/5000
Running simulation 2411/5000
Running simulation 2412/5000
Running simulation 2413/5000
Running simulation 2414/5000
Running simulation 2415/5000
Running simulation 2416/5000
Running simulation 2417/5000
Running simulation 2418/5000
Running simulation 2419/5000
Running simulation 2420/5000
Running simulation 2421/5000
Running simulation 2422/5000
Running simulation 2423/5000
Running simulation 2424/5000
Running simulation 2425/5000
Running simulation 2426/5000
Running simulation 2427/5000
Running simulation 2428/5000
Running simulation 2429/5000
Running simulation 2430/5000
Running simulation 2431/5000
Running simulation 2432/5000
Running simulation 2433/5000
Running simulation 2434/5000
Running simulation 2435/5000
Running simulation 2436/5000
Running simulation 2437/5000
Running simulation 2438/5000
Running simulation 2439/5000
Running simulation 2440/5000
Running simulation 2441/5000
Running simulation 2442/5000
Running simulation 2443/5000
Running simulation 2444/5000
Running simulation 2445/5000
Running simulation 2446/5000
Running simulation 2447/5000
Running simulation 2448/5000
Running simulation 2449/5000
Running simulation 2450/5000
Running simulation 2451/5000
Running simulation 2452/5000
Running simulation 2453/5000
Running simulation 2454/5000
Running simulation 2455/5000
Running simulation 2456/5000
Running simulation 2457/5000
Running simulation 2458/5000
Running simulation 2459/5000
Running simulation 2460/5000
Running simulation 2461/5000
Running simulation 2462/5000
Running simulation 2463/5000
Running simulation 2464/5000
Running simulation 2465/5000
Running simulation 2466/5000
Running simulation 2467/5000
Running simulation 2468/5000
Running simulation 2469/5000
Running simulation 2470/5000
Running simulation 2471/5000
Running simulation 2472/5000
Running simulation 2473/5000
Running simulation 2474/5000
Running simulation 2475/5000
Running simulation 2476/5000
Running simulation 2477/5000
Running simulation 2478/5000
Running simulation 2479/5000
Running simulation 2480/5000
Running simulation 2481/5000
Running simulation 2482/5000
Running simulation 2483/5000
Running simulation 2484/5000
Running simulation 2485/5000
Running simulation 2486/5000
Running simulation 2487/5000
Running simulation 2488/5000
Running simulation 2489/5000
Running simulation 2490/5000
Running simulation 2491/5000
Running simulation 2492/5000
Running simulation 2493/5000
Running simulation 2494/5000
Running simulation 2495/5000
Running simulation 2496/5000
Running simulation 2497/5000
Running simulation 2498/5000
Running simulation 2499/5000
Running simulation 2500/5000
Running simulation 2501/5000
Running simulation 2502/5000
Running simulation 2503/5000
Running simulation 2504/5000
Running simulation 2505/5000
Running simulation 2506/5000
Running simulation 2507/5000
Running simulation 2508/5000
Running simulation 2509/5000
Running simulation 2510/5000
Running simulation 2511/5000
Running simulation 2512/5000
Running simulation 2513/5000
Running simulation 2514/5000
Running simulation 2515/5000
Running simulation 2516/5000
Running simulation 2517/5000
Running simulation 2518/5000
Running simulation 2519/5000
Running simulation 2520/5000
Running simulation 2521/5000
Running simulation 2522/5000
Running simulation 2523/5000
Running simulation 2524/5000
Running simulation 2525/5000
Running simulation 2526/5000
Running simulation 2527/5000
Running simulation 2528/5000
Running simulation 2529/5000
Running simulation 2530/5000
Running simulation 2531/5000
Running simulation 2532/5000
Running simulation 2533/5000
Running simulation 2534/5000
Running simulation 2535/5000
Running simulation 2536/5000
Running simulation 2537/5000
Running simulation 2538/5000
Running simulation 2539/5000
Running simulation 2540/5000
Running simulation 2541/5000
Running simulation 2542/5000
Running simulation 2543/5000
Running simulation 2544/5000
Running simulation 2545/5000
Running simulation 2546/5000
Running simulation 2547/5000
Running simulation 2548/5000
Running simulation 2549/5000
Running simulation 2550/5000
Running simulation 2551/5000
Running simulation 2552/5000
Running simulation 2553/5000
Running simulation 2554/5000
Running simulation 2555/5000
Running simulation 2556/5000
Running simulation 2557/5000
Running simulation 2558/5000
Running simulation 2559/5000
Running simulation 2560/5000
Running simulation 2561/5000
Running simulation 2562/5000
Running simulation 2563/5000
Running simulation 2564/5000
Running simulation 2565/5000
Running simulation 2566/5000
Running simulation 2567/5000
Running simulation 2568/5000
Running simulation 2569/5000
Running simulation 2570/5000
Running simulation 2571/5000
Running simulation 2572/5000
Running simulation 2573/5000
Running simulation 2574/5000
Running simulation 2575/5000
Running simulation 2576/5000
Running simulation 2577/5000
Running simulation 2578/5000
Running simulation 2579/5000
Running simulation 2580/5000
Running simulation 2581/5000
Running simulation 2582/5000
Running simulation 2583/5000
Running simulation 2584/5000
Running simulation 2585/5000
Running simulation 2586/5000
Running simulation 2587/5000
Running simulation 2588/5000
Running simulation 2589/5000
Running simulation 2590/5000
Running simulation 2591/5000
Running simulation 2592/5000
Running simulation 2593/5000
Running simulation 2594/5000
Running simulation 2595/5000
Running simulation 2596/5000
Running simulation 2597/5000
Running simulation 2598/5000
Running simulation 2599/5000
Running simulation 2600/5000
Running simulation 2601/5000
Running simulation 2602/5000
Running simulation 2603/5000
Running simulation 2604/5000
Running simulation 2605/5000
Running simulation 2606/5000
Running simulation 2607/5000
Running simulation 2608/5000
Running simulation 2609/5000
Running simulation 2610/5000
Running simulation 2611/5000
Running simulation 2612/5000
Running simulation 2613/5000
Running simulation 2614/5000
Running simulation 2615/5000
Running simulation 2616/5000
Running simulation 2617/5000
Running simulation 2618/5000
Running simulation 2619/5000
Running simulation 2620/5000
Running simulation 2621/5000
Running simulation 2622/5000
Running simulation 2623/5000
Running simulation 2624/5000
Running simulation 2625/5000
Running simulation 2626/5000
Running simulation 2627/5000
Running simulation 2628/5000
Running simulation 2629/5000
Running simulation 2630/5000
Running simulation 2631/5000
Running simulation 2632/5000
Running simulation 2633/5000
Running simulation 2634/5000
Running simulation 2635/5000
Running simulation 2636/5000
Running simulation 2637/5000
Running simulation 2638/5000
Running simulation 2639/5000
Running simulation 2640/5000
Running simulation 2641/5000
Running simulation 2642/5000
Running simulation 2643/5000
Running simulation 2644/5000
Running simulation 2645/5000
Running simulation 2646/5000
Running simulation 2647/5000
Running simulation 2648/5000
Running simulation 2649/5000
Running simulation 2650/5000
Running simulation 2651/5000
Running simulation 2652/5000
Running simulation 2653/5000
Running simulation 2654/5000
Running simulation 2655/5000
Running simulation 2656/5000
Running simulation 2657/5000
Running simulation 2658/5000
Running simulation 2659/5000
Running simulation 2660/5000
Running simulation 2661/5000
Running simulation 2662/5000
Running simulation 2663/5000
Running simulation 2664/5000
Running simulation 2665/5000
Running simulation 2666/5000
Running simulation 2667/5000
Running simulation 2668/5000
Running simulation 2669/5000
Running simulation 2670/5000
Running simulation 2671/5000
Running simulation 2672/5000
Running simulation 2673/5000
Running simulation 2674/5000
Running simulation 2675/5000
Running simulation 2676/5000
Running simulation 2677/5000
Running simulation 2678/5000
Running simulation 2679/5000
Running simulation 2680/5000
Running simulation 2681/5000
Running simulation 2682/5000
Running simulation 2683/5000
Running simulation 2684/5000
Running simulation 2685/5000
Running simulation 2686/5000
Running simulation 2687/5000
Running simulation 2688/5000
Running simulation 2689/5000
Running simulation 2690/5000
Running simulation 2691/5000
Running simulation 2692/5000
Running simulation 2693/5000
Running simulation 2694/5000
Running simulation 2695/5000
Running simulation 2696/5000
Running simulation 2697/5000
Running simulation 2698/5000
Running simulation 2699/5000
Running simulation 2700/5000
Running simulation 2701/5000
Running simulation 2702/5000
Running simulation 2703/5000
Running simulation 2704/5000
Running simulation 2705/5000
Running simulation 2706/5000
Running simulation 2707/5000
Running simulation 2708/5000
Running simulation 2709/5000
Running simulation 2710/5000
Running simulation 2711/5000
Running simulation 2712/5000
Running simulation 2713/5000
Running simulation 2714/5000
Running simulation 2715/5000
Running simulation 2716/5000
Running simulation 2717/5000
Running simulation 2718/5000
Running simulation 2719/5000
Running simulation 2720/5000
Running simulation 2721/5000
Running simulation 2722/5000
Running simulation 2723/5000
Running simulation 2724/5000
Running simulation 2725/5000
Running simulation 2726/5000
Running simulation 2727/5000
Running simulation 2728/5000
Running simulation 2729/5000
Running simulation 2730/5000
Running simulation 2731/5000
Running simulation 2732/5000
Running simulation 2733/5000
Running simulation 2734/5000
Running simulation 2735/5000
Running simulation 2736/5000
Running simulation 2737/5000
Running simulation 2738/5000
Running simulation 2739/5000
Running simulation 2740/5000
Running simulation 2741/5000
Running simulation 2742/5000
Running simulation 2743/5000
Running simulation 2744/5000
Running simulation 2745/5000
Running simulation 2746/5000
Running simulation 2747/5000
Running simulation 2748/5000
Running simulation 2749/5000
Running simulation 2750/5000
Running simulation 2751/5000
Running simulation 2752/5000
Running simulation 2753/5000
Running simulation 2754/5000
Running simulation 2755/5000
Running simulation 2756/5000
Running simulation 2757/5000
Running simulation 2758/5000
Running simulation 2759/5000
Running simulation 2760/5000
Running simulation 2761/5000
Running simulation 2762/5000
Running simulation 2763/5000
Running simulation 2764/5000
Running simulation 2765/5000
Running simulation 2766/5000
Running simulation 2767/5000
Running simulation 2768/5000
Running simulation 2769/5000
Running simulation 2770/5000
Running simulation 2771/5000
Running simulation 2772/5000
Running simulation 2773/5000
Running simulation 2774/5000
Running simulation 2775/5000
Running simulation 2776/5000
Running simulation 2777/5000
Running simulation 2778/5000
Running simulation 2779/5000
Running simulation 2780/5000
Running simulation 2781/5000
Running simulation 2782/5000
Running simulation 2783/5000
Running simulation 2784/5000
Running simulation 2785/5000
Running simulation 2786/5000
Running simulation 2787/5000
Running simulation 2788/5000
Running simulation 2789/5000
Running simulation 2790/5000
Running simulation 2791/5000
Running simulation 2792/5000
Running simulation 2793/5000
Running simulation 2794/5000
Running simulation 2795/5000
Running simulation 2796/5000
Running simulation 2797/5000
Running simulation 2798/5000
Running simulation 2799/5000
Running simulation 2800/5000
Running simulation 2801/5000
Running simulation 2802/5000
Running simulation 2803/5000
Running simulation 2804/5000
Running simulation 2805/5000
Running simulation 2806/5000
Running simulation 2807/5000
Running simulation 2808/5000
Running simulation 2809/5000
Running simulation 2810/5000
Running simulation 2811/5000
Running simulation 2812/5000
Running simulation 2813/5000
Running simulation 2814/5000
Running simulation 2815/5000
Running simulation 2816/5000
Running simulation 2817/5000
Running simulation 2818/5000
Running simulation 2819/5000
Running simulation 2820/5000
Running simulation 2821/5000
Running simulation 2822/5000
Running simulation 2823/5000
Running simulation 2824/5000
Running simulation 2825/5000
Running simulation 2826/5000
Running simulation 2827/5000
Running simulation 2828/5000
Running simulation 2829/5000
Running simulation 2830/5000
Running simulation 2831/5000
Running simulation 2832/5000
Running simulation 2833/5000
Running simulation 2834/5000
Running simulation 2835/5000
Running simulation 2836/5000
Running simulation 2837/5000
Running simulation 2838/5000
Running simulation 2839/5000
Running simulation 2840/5000
Running simulation 2841/5000
Running simulation 2842/5000
Running simulation 2843/5000
Running simulation 2844/5000
Running simulation 2845/5000
Running simulation 2846/5000
Running simulation 2847/5000
Running simulation 2848/5000
Running simulation 2849/5000
Running simulation 2850/5000
Running simulation 2851/5000
Running simulation 2852/5000
Running simulation 2853/5000
Running simulation 2854/5000
Running simulation 2855/5000
Running simulation 2856/5000
Running simulation 2857/5000
Running simulation 2858/5000
Running simulation 2859/5000
Running simulation 2860/5000
Running simulation 2861/5000
Running simulation 2862/5000
Running simulation 2863/5000
Running simulation 2864/5000
Running simulation 2865/5000
Running simulation 2866/5000
Running simulation 2867/5000
Running simulation 2868/5000
Running simulation 2869/5000
Running simulation 2870/5000
Running simulation 2871/5000
Running simulation 2872/5000
Running simulation 2873/5000
Running simulation 2874/5000
Running simulation 2875/5000
Running simulation 2876/5000
Running simulation 2877/5000
Running simulation 2878/5000
Running simulation 2879/5000
Running simulation 2880/5000
Running simulation 2881/5000
Running simulation 2882/5000
Running simulation 2883/5000
Running simulation 2884/5000
Running simulation 2885/5000
Running simulation 2886/5000
Running simulation 2887/5000
Running simulation 2888/5000
Running simulation 2889/5000
Running simulation 2890/5000
Running simulation 2891/5000
Running simulation 2892/5000
Running simulation 2893/5000
Running simulation 2894/5000
Running simulation 2895/5000
Running simulation 2896/5000
Running simulation 2897/5000
Running simulation 2898/5000
Running simulation 2899/5000
Running simulation 2900/5000
Running simulation 2901/5000
Running simulation 2902/5000
Running simulation 2903/5000
Running simulation 2904/5000
Running simulation 2905/5000
Running simulation 2906/5000
Running simulation 2907/5000
Running simulation 2908/5000
Running simulation 2909/5000
Running simulation 2910/5000
Running simulation 2911/5000
Running simulation 2912/5000
Running simulation 2913/5000
Running simulation 2914/5000
Running simulation 2915/5000
Running simulation 2916/5000
Running simulation 2917/5000
Running simulation 2918/5000
Running simulation 2919/5000
Running simulation 2920/5000
Running simulation 2921/5000
Running simulation 2922/5000
Running simulation 2923/5000
Running simulation 2924/5000
Running simulation 2925/5000
Running simulation 2926/5000
Running simulation 2927/5000
Running simulation 2928/5000
Running simulation 2929/5000
Running simulation 2930/5000
Running simulation 2931/5000
Running simulation 2932/5000
Running simulation 2933/5000
Running simulation 2934/5000
Running simulation 2935/5000
Running simulation 2936/5000
Running simulation 2937/5000
Running simulation 2938/5000
Running simulation 2939/5000
Running simulation 2940/5000
Running simulation 2941/5000
Running simulation 2942/5000
Running simulation 2943/5000
Running simulation 2944/5000
Running simulation 2945/5000
Running simulation 2946/5000
Running simulation 2947/5000
Running simulation 2948/5000
Running simulation 2949/5000
Running simulation 2950/5000
Running simulation 2951/5000
Running simulation 2952/5000
Running simulation 2953/5000
Running simulation 2954/5000
Running simulation 2955/5000
Running simulation 2956/5000
Running simulation 2957/5000
Running simulation 2958/5000
Running simulation 2959/5000
Running simulation 2960/5000
Running simulation 2961/5000
Running simulation 2962/5000
Running simulation 2963/5000
Running simulation 2964/5000
Running simulation 2965/5000
Running simulation 2966/5000
Running simulation 2967/5000
Running simulation 2968/5000
Running simulation 2969/5000
Running simulation 2970/5000
Running simulation 2971/5000
Running simulation 2972/5000
Running simulation 2973/5000
Running simulation 2974/5000
Running simulation 2975/5000
Running simulation 2976/5000
Running simulation 2977/5000
Running simulation 2978/5000
Running simulation 2979/5000
Running simulation 2980/5000
Running simulation 2981/5000
Running simulation 2982/5000
Running simulation 2983/5000
Running simulation 2984/5000
Running simulation 2985/5000
Running simulation 2986/5000
Running simulation 2987/5000
Running simulation 2988/5000
Running simulation 2989/5000
Running simulation 2990/5000
Running simulation 2991/5000
Running simulation 2992/5000
Running simulation 2993/5000
Running simulation 2994/5000
Running simulation 2995/5000
Running simulation 2996/5000
Running simulation 2997/5000
Running simulation 2998/5000
Running simulation 2999/5000
Running simulation 3000/5000
Running simulation 3001/5000
Running simulation 3002/5000
Running simulation 3003/5000
Running simulation 3004/5000
Running simulation 3005/5000
Running simulation 3006/5000
Running simulation 3007/5000
Running simulation 3008/5000
Running simulation 3009/5000
Running simulation 3010/5000
Running simulation 3011/5000
Running simulation 3012/5000
Running simulation 3013/5000
Running simulation 3014/5000
Running simulation 3015/5000
Running simulation 3016/5000
Running simulation 3017/5000
Running simulation 3018/5000
Running simulation 3019/5000
Running simulation 3020/5000
Running simulation 3021/5000
Running simulation 3022/5000
Running simulation 3023/5000
Running simulation 3024/5000
Running simulation 3025/5000
Running simulation 3026/5000
Running simulation 3027/5000
Running simulation 3028/5000
Running simulation 3029/5000
Running simulation 3030/5000
Running simulation 3031/5000
Running simulation 3032/5000
Running simulation 3033/5000
Running simulation 3034/5000
Running simulation 3035/5000
Running simulation 3036/5000
Running simulation 3037/5000
Running simulation 3038/5000
Running simulation 3039/5000
Running simulation 3040/5000
Running simulation 3041/5000
Running simulation 3042/5000
Running simulation 3043/5000
Running simulation 3044/5000
Running simulation 3045/5000
Running simulation 3046/5000
Running simulation 3047/5000
Running simulation 3048/5000
Running simulation 3049/5000
Running simulation 3050/5000
Running simulation 3051/5000
Running simulation 3052/5000
Running simulation 3053/5000
Running simulation 3054/5000
Running simulation 3055/5000
Running simulation 3056/5000
Running simulation 3057/5000
Running simulation 3058/5000
Running simulation 3059/5000
Running simulation 3060/5000
Running simulation 3061/5000
Running simulation 3062/5000
Running simulation 3063/5000
Running simulation 3064/5000
Running simulation 3065/5000
Running simulation 3066/5000
Running simulation 3067/5000
Running simulation 3068/5000
Running simulation 3069/5000
Running simulation 3070/5000
Running simulation 3071/5000
Running simulation 3072/5000
Running simulation 3073/5000
Running simulation 3074/5000
Running simulation 3075/5000
Running simulation 3076/5000
Running simulation 3077/5000
Running simulation 3078/5000
Running simulation 3079/5000
Running simulation 3080/5000
Running simulation 3081/5000
Running simulation 3082/5000
Running simulation 3083/5000
Running simulation 3084/5000
Running simulation 3085/5000
Running simulation 3086/5000
Running simulation 3087/5000
Running simulation 3088/5000
Running simulation 3089/5000
Running simulation 3090/5000
Running simulation 3091/5000
Running simulation 3092/5000
Running simulation 3093/5000
Running simulation 3094/5000
Running simulation 3095/5000
Running simulation 3096/5000
Running simulation 3097/5000
Running simulation 3098/5000
Running simulation 3099/5000
Running simulation 3100/5000
Running simulation 3101/5000
Running simulation 3102/5000
Running simulation 3103/5000
Running simulation 3104/5000
Running simulation 3105/5000
Running simulation 3106/5000
Running simulation 3107/5000
Running simulation 3108/5000
Running simulation 3109/5000
Running simulation 3110/5000
Running simulation 3111/5000
Running simulation 3112/5000
Running simulation 3113/5000
Running simulation 3114/5000
Running simulation 3115/5000
Running simulation 3116/5000
Running simulation 3117/5000
Running simulation 3118/5000
Running simulation 3119/5000
Running simulation 3120/5000
Running simulation 3121/5000
Running simulation 3122/5000
Running simulation 3123/5000
Running simulation 3124/5000
Running simulation 3125/5000
Running simulation 3126/5000
Running simulation 3127/5000
Running simulation 3128/5000
Running simulation 3129/5000
Running simulation 3130/5000
Running simulation 3131/5000
Running simulation 3132/5000
Running simulation 3133/5000
Running simulation 3134/5000
Running simulation 3135/5000
Running simulation 3136/5000
Running simulation 3137/5000
Running simulation 3138/5000
Running simulation 3139/5000
Running simulation 3140/5000
Running simulation 3141/5000
Running simulation 3142/5000
Running simulation 3143/5000
Running simulation 3144/5000
Running simulation 3145/5000
Running simulation 3146/5000
Running simulation 3147/5000
Running simulation 3148/5000
Running simulation 3149/5000
Running simulation 3150/5000
Running simulation 3151/5000
Running simulation 3152/5000
Running simulation 3153/5000
Running simulation 3154/5000
Running simulation 3155/5000
Running simulation 3156/5000
Running simulation 3157/5000
Running simulation 3158/5000
Running simulation 3159/5000
Running simulation 3160/5000
Running simulation 3161/5000
Running simulation 3162/5000
Running simulation 3163/5000
Running simulation 3164/5000
Running simulation 3165/5000
Running simulation 3166/5000
Running simulation 3167/5000
Running simulation 3168/5000
Running simulation 3169/5000
Running simulation 3170/5000
Running simulation 3171/5000
Running simulation 3172/5000
Running simulation 3173/5000
Running simulation 3174/5000
Running simulation 3175/5000
Running simulation 3176/5000
Running simulation 3177/5000
Running simulation 3178/5000
Running simulation 3179/5000
Running simulation 3180/5000
Running simulation 3181/5000
Running simulation 3182/5000
Running simulation 3183/5000
Running simulation 3184/5000
Running simulation 3185/5000
Running simulation 3186/5000
Running simulation 3187/5000
Running simulation 3188/5000
Running simulation 3189/5000
Running simulation 3190/5000
Running simulation 3191/5000
Running simulation 3192/5000
Running simulation 3193/5000
Running simulation 3194/5000
Running simulation 3195/5000
Running simulation 3196/5000
Running simulation 3197/5000
Running simulation 3198/5000
Running simulation 3199/5000
Running simulation 3200/5000
Running simulation 3201/5000
Running simulation 3202/5000
Running simulation 3203/5000
Running simulation 3204/5000
Running simulation 3205/5000
Running simulation 3206/5000
Running simulation 3207/5000
Running simulation 3208/5000
Running simulation 3209/5000
Running simulation 3210/5000
Running simulation 3211/5000
Running simulation 3212/5000
Running simulation 3213/5000
Running simulation 3214/5000
Running simulation 3215/5000
Running simulation 3216/5000
Running simulation 3217/5000
Running simulation 3218/5000
Running simulation 3219/5000
Running simulation 3220/5000
Running simulation 3221/5000
Running simulation 3222/5000
Running simulation 3223/5000
Running simulation 3224/5000
Running simulation 3225/5000
Running simulation 3226/5000
Running simulation 3227/5000
Running simulation 3228/5000
Running simulation 3229/5000
Running simulation 3230/5000
Running simulation 3231/5000
Running simulation 3232/5000
Running simulation 3233/5000
Running simulation 3234/5000
Running simulation 3235/5000
Running simulation 3236/5000
Running simulation 3237/5000
Running simulation 3238/5000
Running simulation 3239/5000
Running simulation 3240/5000
Running simulation 3241/5000
Running simulation 3242/5000
Running simulation 3243/5000
Running simulation 3244/5000
Running simulation 3245/5000
Running simulation 3246/5000
Running simulation 3247/5000
Running simulation 3248/5000
Running simulation 3249/5000
Running simulation 3250/5000
Running simulation 3251/5000
Running simulation 3252/5000
Running simulation 3253/5000
Running simulation 3254/5000
Running simulation 3255/5000
Running simulation 3256/5000
Running simulation 3257/5000
Running simulation 3258/5000
Running simulation 3259/5000
Running simulation 3260/5000
Running simulation 3261/5000
Running simulation 3262/5000
Running simulation 3263/5000
Running simulation 3264/5000
Running simulation 3265/5000
Running simulation 3266/5000
Running simulation 3267/5000
Running simulation 3268/5000
Running simulation 3269/5000
Running simulation 3270/5000
Running simulation 3271/5000
Running simulation 3272/5000
Running simulation 3273/5000
Running simulation 3274/5000
Running simulation 3275/5000
Running simulation 3276/5000
Running simulation 3277/5000
Running simulation 3278/5000
Running simulation 3279/5000
Running simulation 3280/5000
Running simulation 3281/5000
Running simulation 3282/5000
Running simulation 3283/5000
Running simulation 3284/5000
Running simulation 3285/5000
Running simulation 3286/5000
Running simulation 3287/5000
Running simulation 3288/5000
Running simulation 3289/5000
Running simulation 3290/5000
Running simulation 3291/5000
Running simulation 3292/5000
Running simulation 3293/5000
Running simulation 3294/5000
Running simulation 3295/5000
Running simulation 3296/5000
Running simulation 3297/5000
Running simulation 3298/5000
Running simulation 3299/5000
Running simulation 3300/5000
Running simulation 3301/5000
Running simulation 3302/5000
Running simulation 3303/5000
Running simulation 3304/5000
Running simulation 3305/5000
Running simulation 3306/5000
Running simulation 3307/5000
Running simulation 3308/5000
Running simulation 3309/5000
Running simulation 3310/5000
Running simulation 3311/5000
Running simulation 3312/5000
Running simulation 3313/5000
Running simulation 3314/5000
Running simulation 3315/5000
Running simulation 3316/5000
Running simulation 3317/5000
Running simulation 3318/5000
Running simulation 3319/5000
Running simulation 3320/5000
Running simulation 3321/5000
Running simulation 3322/5000
Running simulation 3323/5000
Running simulation 3324/5000
Running simulation 3325/5000
Running simulation 3326/5000
Running simulation 3327/5000
Running simulation 3328/5000
Running simulation 3329/5000
Running simulation 3330/5000
Running simulation 3331/5000
Running simulation 3332/5000
Running simulation 3333/5000
Running simulation 3334/5000
Running simulation 3335/5000
Running simulation 3336/5000
Running simulation 3337/5000
Running simulation 3338/5000
Running simulation 3339/5000
Running simulation 3340/5000
Running simulation 3341/5000
Running simulation 3342/5000
Running simulation 3343/5000
Running simulation 3344/5000
Running simulation 3345/5000
Running simulation 3346/5000
Running simulation 3347/5000
Running simulation 3348/5000
Running simulation 3349/5000
Running simulation 3350/5000
Running simulation 3351/5000
Running simulation 3352/5000
Running simulation 3353/5000
Running simulation 3354/5000
Running simulation 3355/5000
Running simulation 3356/5000
Running simulation 3357/5000
Running simulation 3358/5000
Running simulation 3359/5000
Running simulation 3360/5000
Running simulation 3361/5000
Running simulation 3362/5000
Running simulation 3363/5000
Running simulation 3364/5000
Running simulation 3365/5000
Running simulation 3366/5000
Running simulation 3367/5000
Running simulation 3368/5000
Running simulation 3369/5000
Running simulation 3370/5000
Running simulation 3371/5000
Running simulation 3372/5000
Running simulation 3373/5000
Running simulation 3374/5000
Running simulation 3375/5000
Running simulation 3376/5000
Running simulation 3377/5000
Running simulation 3378/5000
Running simulation 3379/5000
Running simulation 3380/5000
Running simulation 3381/5000
Running simulation 3382/5000
Running simulation 3383/5000
Running simulation 3384/5000
Running simulation 3385/5000
Running simulation 3386/5000
Running simulation 3387/5000
Running simulation 3388/5000
Running simulation 3389/5000
Running simulation 3390/5000
Running simulation 3391/5000
Running simulation 3392/5000
Running simulation 3393/5000
Running simulation 3394/5000
Running simulation 3395/5000
Running simulation 3396/5000
Running simulation 3397/5000
Running simulation 3398/5000
Running simulation 3399/5000
Running simulation 3400/5000
Running simulation 3401/5000
Running simulation 3402/5000
Running simulation 3403/5000
Running simulation 3404/5000
Running simulation 3405/5000
Running simulation 3406/5000
Running simulation 3407/5000
Running simulation 3408/5000
Running simulation 3409/5000
Running simulation 3410/5000
Running simulation 3411/5000
Running simulation 3412/5000
Running simulation 3413/5000
Running simulation 3414/5000
Running simulation 3415/5000
Running simulation 3416/5000
Running simulation 3417/5000
Running simulation 3418/5000
Running simulation 3419/5000
Running simulation 3420/5000
Running simulation 3421/5000
Running simulation 3422/5000
Running simulation 3423/5000
Running simulation 3424/5000
Running simulation 3425/5000
Running simulation 3426/5000
Running simulation 3427/5000
Running simulation 3428/5000
Running simulation 3429/5000
Running simulation 3430/5000
Running simulation 3431/5000
Running simulation 3432/5000
Running simulation 3433/5000
Running simulation 3434/5000
Running simulation 3435/5000
Running simulation 3436/5000
Running simulation 3437/5000
Running simulation 3438/5000
Running simulation 3439/5000
Running simulation 3440/5000
Running simulation 3441/5000
Running simulation 3442/5000
Running simulation 3443/5000
Running simulation 3444/5000
Running simulation 3445/5000
Running simulation 3446/5000
Running simulation 3447/5000
Running simulation 3448/5000
Running simulation 3449/5000
Running simulation 3450/5000
Running simulation 3451/5000
Running simulation 3452/5000
Running simulation 3453/5000
Running simulation 3454/5000
Running simulation 3455/5000
Running simulation 3456/5000
Running simulation 3457/5000
Running simulation 3458/5000
Running simulation 3459/5000
Running simulation 3460/5000
Running simulation 3461/5000
Running simulation 3462/5000
Running simulation 3463/5000
Running simulation 3464/5000
Running simulation 3465/5000
Running simulation 3466/5000
Running simulation 3467/5000
Running simulation 3468/5000
Running simulation 3469/5000
Running simulation 3470/5000
Running simulation 3471/5000
Running simulation 3472/5000
Running simulation 3473/5000
Running simulation 3474/5000
Running simulation 3475/5000
Running simulation 3476/5000
Running simulation 3477/5000
Running simulation 3478/5000
Running simulation 3479/5000
Running simulation 3480/5000
Running simulation 3481/5000
Running simulation 3482/5000
Running simulation 3483/5000
Running simulation 3484/5000
Running simulation 3485/5000
Running simulation 3486/5000
Running simulation 3487/5000
Running simulation 3488/5000
Running simulation 3489/5000
Running simulation 3490/5000
Running simulation 3491/5000
Running simulation 3492/5000
Running simulation 3493/5000
Running simulation 3494/5000
Running simulation 3495/5000
Running simulation 3496/5000
Running simulation 3497/5000
Running simulation 3498/5000
Running simulation 3499/5000
Running simulation 3500/5000
Running simulation 3501/5000
Running simulation 3502/5000
Running simulation 3503/5000
Running simulation 3504/5000
Running simulation 3505/5000
Running simulation 3506/5000
Running simulation 3507/5000
Running simulation 3508/5000
Running simulation 3509/5000
Running simulation 3510/5000
Running simulation 3511/5000
Running simulation 3512/5000
Running simulation 3513/5000
Running simulation 3514/5000
Running simulation 3515/5000
Running simulation 3516/5000
Running simulation 3517/5000
Running simulation 3518/5000
Running simulation 3519/5000
Running simulation 3520/5000
Running simulation 3521/5000
Running simulation 3522/5000
Running simulation 3523/5000
Running simulation 3524/5000
Running simulation 3525/5000
Running simulation 3526/5000
Running simulation 3527/5000
Running simulation 3528/5000
Running simulation 3529/5000
Running simulation 3530/5000
Running simulation 3531/5000
Running simulation 3532/5000
Running simulation 3533/5000
Running simulation 3534/5000
Running simulation 3535/5000
Running simulation 3536/5000
Running simulation 3537/5000
Running simulation 3538/5000
Running simulation 3539/5000
Running simulation 3540/5000
Running simulation 3541/5000
Running simulation 3542/5000
Running simulation 3543/5000
Running simulation 3544/5000
Running simulation 3545/5000
Running simulation 3546/5000
Running simulation 3547/5000
Running simulation 3548/5000
Running simulation 3549/5000
Running simulation 3550/5000
Running simulation 3551/5000
Running simulation 3552/5000
Running simulation 3553/5000
Running simulation 3554/5000
Running simulation 3555/5000
Running simulation 3556/5000
Running simulation 3557/5000
Running simulation 3558/5000
Running simulation 3559/5000
Running simulation 3560/5000
Running simulation 3561/5000
Running simulation 3562/5000
Running simulation 3563/5000
Running simulation 3564/5000
Running simulation 3565/5000
Running simulation 3566/5000
Running simulation 3567/5000
Running simulation 3568/5000
Running simulation 3569/5000
Running simulation 3570/5000
Running simulation 3571/5000
Running simulation 3572/5000
Running simulation 3573/5000
Running simulation 3574/5000
Running simulation 3575/5000
Running simulation 3576/5000
Running simulation 3577/5000
Running simulation 3578/5000
Running simulation 3579/5000
Running simulation 3580/5000
Running simulation 3581/5000
Running simulation 3582/5000
Running simulation 3583/5000
Running simulation 3584/5000
Running simulation 3585/5000
Running simulation 3586/5000
Running simulation 3587/5000
Running simulation 3588/5000
Running simulation 3589/5000
Running simulation 3590/5000
Running simulation 3591/5000
Running simulation 3592/5000
Running simulation 3593/5000
Running simulation 3594/5000
Running simulation 3595/5000
Running simulation 3596/5000
Running simulation 3597/5000
Running simulation 3598/5000
Running simulation 3599/5000
Running simulation 3600/5000
Running simulation 3601/5000
Running simulation 3602/5000
Running simulation 3603/5000
Running simulation 3604/5000
Running simulation 3605/5000
Running simulation 3606/5000
Running simulation 3607/5000
Running simulation 3608/5000
Running simulation 3609/5000
Running simulation 3610/5000
Running simulation 3611/5000
Running simulation 3612/5000
Running simulation 3613/5000
Running simulation 3614/5000
Running simulation 3615/5000
Running simulation 3616/5000
Running simulation 3617/5000
Running simulation 3618/5000
Running simulation 3619/5000
Running simulation 3620/5000
Running simulation 3621/5000
Running simulation 3622/5000
Running simulation 3623/5000
Running simulation 3624/5000
Running simulation 3625/5000
Running simulation 3626/5000
Running simulation 3627/5000
Running simulation 3628/5000
Running simulation 3629/5000
Running simulation 3630/5000
Running simulation 3631/5000
Running simulation 3632/5000
Running simulation 3633/5000
Running simulation 3634/5000
Running simulation 3635/5000
Running simulation 3636/5000
Running simulation 3637/5000
Running simulation 3638/5000
Running simulation 3639/5000
Running simulation 3640/5000
Running simulation 3641/5000
Running simulation 3642/5000
Running simulation 3643/5000
Running simulation 3644/5000
Running simulation 3645/5000
Running simulation 3646/5000
Running simulation 3647/5000
Running simulation 3648/5000
Running simulation 3649/5000
Running simulation 3650/5000
Running simulation 3651/5000
Running simulation 3652/5000
Running simulation 3653/5000
Running simulation 3654/5000
Running simulation 3655/5000
Running simulation 3656/5000
Running simulation 3657/5000
Running simulation 3658/5000
Running simulation 3659/5000
Running simulation 3660/5000
Running simulation 3661/5000
Running simulation 3662/5000
Running simulation 3663/5000
Running simulation 3664/5000
Running simulation 3665/5000
Running simulation 3666/5000
Running simulation 3667/5000
Running simulation 3668/5000
Running simulation 3669/5000
Running simulation 3670/5000
Running simulation 3671/5000
Running simulation 3672/5000
Running simulation 3673/5000
Running simulation 3674/5000
Running simulation 3675/5000
Running simulation 3676/5000
Running simulation 3677/5000
Running simulation 3678/5000
Running simulation 3679/5000
Running simulation 3680/5000
Running simulation 3681/5000
Running simulation 3682/5000
Running simulation 3683/5000
Running simulation 3684/5000
Running simulation 3685/5000
Running simulation 3686/5000
Running simulation 3687/5000
Running simulation 3688/5000
Running simulation 3689/5000
Running simulation 3690/5000
Running simulation 3691/5000
Running simulation 3692/5000
Running simulation 3693/5000
Running simulation 3694/5000
Running simulation 3695/5000
Running simulation 3696/5000
Running simulation 3697/5000
Running simulation 3698/5000
Running simulation 3699/5000
Running simulation 3700/5000
Running simulation 3701/5000
Running simulation 3702/5000
Running simulation 3703/5000
Running simulation 3704/5000
Running simulation 3705/5000
Running simulation 3706/5000
Running simulation 3707/5000
Running simulation 3708/5000
Running simulation 3709/5000
Running simulation 3710/5000
Running simulation 3711/5000
Running simulation 3712/5000
Running simulation 3713/5000
Running simulation 3714/5000
Running simulation 3715/5000
Running simulation 3716/5000
Running simulation 3717/5000
Running simulation 3718/5000
Running simulation 3719/5000
Running simulation 3720/5000
Running simulation 3721/5000
Running simulation 3722/5000
Running simulation 3723/5000
Running simulation 3724/5000
Running simulation 3725/5000
Running simulation 3726/5000
Running simulation 3727/5000
Running simulation 3728/5000
Running simulation 3729/5000
Running simulation 3730/5000
Running simulation 3731/5000
Running simulation 3732/5000
Running simulation 3733/5000
Running simulation 3734/5000
Running simulation 3735/5000
Running simulation 3736/5000
Running simulation 3737/5000
Running simulation 3738/5000
Running simulation 3739/5000
Running simulation 3740/5000
Running simulation 3741/5000
Running simulation 3742/5000
Running simulation 3743/5000
Running simulation 3744/5000
Running simulation 3745/5000
Running simulation 3746/5000
Running simulation 3747/5000
Running simulation 3748/5000
Running simulation 3749/5000
Running simulation 3750/5000
Running simulation 3751/5000
Running simulation 3752/5000
Running simulation 3753/5000
Running simulation 3754/5000
Running simulation 3755/5000
Running simulation 3756/5000
Running simulation 3757/5000
Running simulation 3758/5000
Running simulation 3759/5000
Running simulation 3760/5000
Running simulation 3761/5000
Running simulation 3762/5000
Running simulation 3763/5000
Running simulation 3764/5000
Running simulation 3765/5000
Running simulation 3766/5000
Running simulation 3767/5000
Running simulation 3768/5000
Running simulation 3769/5000
Running simulation 3770/5000
Running simulation 3771/5000
Running simulation 3772/5000
Running simulation 3773/5000
Running simulation 3774/5000
Running simulation 3775/5000
Running simulation 3776/5000
Running simulation 3777/5000
Running simulation 3778/5000
Running simulation 3779/5000
Running simulation 3780/5000
Running simulation 3781/5000
Running simulation 3782/5000
Running simulation 3783/5000
Running simulation 3784/5000
Running simulation 3785/5000
Running simulation 3786/5000
Running simulation 3787/5000
Running simulation 3788/5000
Running simulation 3789/5000
Running simulation 3790/5000
Running simulation 3791/5000
Running simulation 3792/5000
Running simulation 3793/5000
Running simulation 3794/5000
Running simulation 3795/5000
Running simulation 3796/5000
Running simulation 3797/5000
Running simulation 3798/5000
Running simulation 3799/5000
Running simulation 3800/5000
Running simulation 3801/5000
Running simulation 3802/5000
Running simulation 3803/5000
Running simulation 3804/5000
Running simulation 3805/5000
Running simulation 3806/5000
Running simulation 3807/5000
Running simulation 3808/5000
Running simulation 3809/5000
Running simulation 3810/5000
Running simulation 3811/5000
Running simulation 3812/5000
Running simulation 3813/5000
Running simulation 3814/5000
Running simulation 3815/5000
Running simulation 3816/5000
Running simulation 3817/5000
Running simulation 3818/5000
Running simulation 3819/5000
Running simulation 3820/5000
Running simulation 3821/5000
Running simulation 3822/5000
Running simulation 3823/5000
Running simulation 3824/5000
Running simulation 3825/5000
Running simulation 3826/5000
Running simulation 3827/5000
Running simulation 3828/5000
Running simulation 3829/5000
Running simulation 3830/5000
Running simulation 3831/5000
Running simulation 3832/5000
Running simulation 3833/5000
Running simulation 3834/5000
Running simulation 3835/5000
Running simulation 3836/5000
Running simulation 3837/5000
Running simulation 3838/5000
Running simulation 3839/5000
Running simulation 3840/5000
Running simulation 3841/5000
Running simulation 3842/5000
Running simulation 3843/5000
Running simulation 3844/5000
Running simulation 3845/5000
Running simulation 3846/5000
Running simulation 3847/5000
Running simulation 3848/5000
Running simulation 3849/5000
Running simulation 3850/5000
Running simulation 3851/5000
Running simulation 3852/5000
Running simulation 3853/5000
Running simulation 3854/5000
Running simulation 3855/5000
Running simulation 3856/5000
Running simulation 3857/5000
Running simulation 3858/5000
Running simulation 3859/5000
Running simulation 3860/5000
Running simulation 3861/5000
Running simulation 3862/5000
Running simulation 3863/5000
Running simulation 3864/5000
Running simulation 3865/5000
Running simulation 3866/5000
Running simulation 3867/5000
Running simulation 3868/5000
Running simulation 3869/5000
Running simulation 3870/5000
Running simulation 3871/5000
Running simulation 3872/5000
Running simulation 3873/5000
Running simulation 3874/5000
Running simulation 3875/5000
Running simulation 3876/5000
Running simulation 3877/5000
Running simulation 3878/5000
Running simulation 3879/5000
Running simulation 3880/5000
Running simulation 3881/5000
Running simulation 3882/5000
Running simulation 3883/5000
Running simulation 3884/5000
Running simulation 3885/5000
Running simulation 3886/5000
Running simulation 3887/5000
Running simulation 3888/5000
Running simulation 3889/5000
Running simulation 3890/5000
Running simulation 3891/5000
Running simulation 3892/5000
Running simulation 3893/5000
Running simulation 3894/5000
Running simulation 3895/5000
Running simulation 3896/5000
Running simulation 3897/5000
Running simulation 3898/5000
Running simulation 3899/5000
Running simulation 3900/5000
Running simulation 3901/5000
Running simulation 3902/5000
Running simulation 3903/5000
Running simulation 3904/5000
Running simulation 3905/5000
Running simulation 3906/5000
Running simulation 3907/5000
Running simulation 3908/5000
Running simulation 3909/5000
Running simulation 3910/5000
Running simulation 3911/5000
Running simulation 3912/5000
Running simulation 3913/5000
Running simulation 3914/5000
Running simulation 3915/5000
Running simulation 3916/5000
Running simulation 3917/5000
Running simulation 3918/5000
Running simulation 3919/5000
Running simulation 3920/5000
Running simulation 3921/5000
Running simulation 3922/5000
Running simulation 3923/5000
Running simulation 3924/5000
Running simulation 3925/5000
Running simulation 3926/5000
Running simulation 3927/5000
Running simulation 3928/5000
Running simulation 3929/5000
Running simulation 3930/5000
Running simulation 3931/5000
Running simulation 3932/5000
Running simulation 3933/5000
Running simulation 3934/5000
Running simulation 3935/5000
Running simulation 3936/5000
Running simulation 3937/5000
Running simulation 3938/5000
Running simulation 3939/5000
Running simulation 3940/5000
Running simulation 3941/5000
Running simulation 3942/5000
Running simulation 3943/5000
Running simulation 3944/5000
Running simulation 3945/5000
Running simulation 3946/5000
Running simulation 3947/5000
Running simulation 3948/5000
Running simulation 3949/5000
Running simulation 3950/5000
Running simulation 3951/5000
Running simulation 3952/5000
Running simulation 3953/5000
Running simulation 3954/5000
Running simulation 3955/5000
Running simulation 3956/5000
Running simulation 3957/5000
Running simulation 3958/5000
Running simulation 3959/5000
Running simulation 3960/5000
Running simulation 3961/5000
Running simulation 3962/5000
Running simulation 3963/5000
Running simulation 3964/5000
Running simulation 3965/5000
Running simulation 3966/5000
Running simulation 3967/5000
Running simulation 3968/5000
Running simulation 3969/5000
Running simulation 3970/5000
Running simulation 3971/5000
Running simulation 3972/5000
Running simulation 3973/5000
Running simulation 3974/5000
Running simulation 3975/5000
Running simulation 3976/5000
Running simulation 3977/5000
Running simulation 3978/5000
Running simulation 3979/5000
Running simulation 3980/5000
Running simulation 3981/5000
Running simulation 3982/5000
Running simulation 3983/5000
Running simulation 3984/5000
Running simulation 3985/5000
Running simulation 3986/5000
Running simulation 3987/5000
Running simulation 3988/5000
Running simulation 3989/5000
Running simulation 3990/5000
Running simulation 3991/5000
Running simulation 3992/5000
Running simulation 3993/5000
Running simulation 3994/5000
Running simulation 3995/5000
Running simulation 3996/5000
Running simulation 3997/5000
Running simulation 3998/5000
Running simulation 3999/5000
Running simulation 4000/5000
Running simulation 4001/5000
Running simulation 4002/5000
Running simulation 4003/5000
Running simulation 4004/5000
Running simulation 4005/5000
Running simulation 4006/5000
Running simulation 4007/5000
Running simulation 4008/5000
Running simulation 4009/5000
Running simulation 4010/5000
Running simulation 4011/5000
Running simulation 4012/5000
Running simulation 4013/5000
Running simulation 4014/5000
Running simulation 4015/5000
Running simulation 4016/5000
Running simulation 4017/5000
Running simulation 4018/5000
Running simulation 4019/5000
Running simulation 4020/5000
Running simulation 4021/5000
Running simulation 4022/5000
Running simulation 4023/5000
Running simulation 4024/5000
Running simulation 4025/5000
Running simulation 4026/5000
Running simulation 4027/5000
Running simulation 4028/5000
Running simulation 4029/5000
Running simulation 4030/5000
Running simulation 4031/5000
Running simulation 4032/5000
Running simulation 4033/5000
Running simulation 4034/5000
Running simulation 4035/5000
Running simulation 4036/5000
Running simulation 4037/5000
Running simulation 4038/5000
Running simulation 4039/5000
Running simulation 4040/5000
Running simulation 4041/5000
Running simulation 4042/5000
Running simulation 4043/5000
Running simulation 4044/5000
Running simulation 4045/5000
Running simulation 4046/5000
Running simulation 4047/5000
Running simulation 4048/5000
Running simulation 4049/5000
Running simulation 4050/5000
Running simulation 4051/5000
Running simulation 4052/5000
Running simulation 4053/5000
Running simulation 4054/5000
Running simulation 4055/5000
Running simulation 4056/5000
Running simulation 4057/5000
Running simulation 4058/5000
Running simulation 4059/5000
Running simulation 4060/5000
Running simulation 4061/5000
Running simulation 4062/5000
Running simulation 4063/5000
Running simulation 4064/5000
Running simulation 4065/5000
Running simulation 4066/5000
Running simulation 4067/5000
Running simulation 4068/5000
Running simulation 4069/5000
Running simulation 4070/5000
Running simulation 4071/5000
Running simulation 4072/5000
Running simulation 4073/5000
Running simulation 4074/5000
Running simulation 4075/5000
Running simulation 4076/5000
Running simulation 4077/5000
Running simulation 4078/5000
Running simulation 4079/5000
Running simulation 4080/5000
Running simulation 4081/5000
Running simulation 4082/5000
Running simulation 4083/5000
Running simulation 4084/5000
Running simulation 4085/5000
Running simulation 4086/5000
Running simulation 4087/5000
Running simulation 4088/5000
Running simulation 4089/5000
Running simulation 4090/5000
Running simulation 4091/5000
Running simulation 4092/5000
Running simulation 4093/5000
Running simulation 4094/5000
Running simulation 4095/5000
Running simulation 4096/5000
Running simulation 4097/5000
Running simulation 4098/5000
Running simulation 4099/5000
Running simulation 4100/5000
Running simulation 4101/5000
Running simulation 4102/5000
Running simulation 4103/5000
Running simulation 4104/5000
Running simulation 4105/5000
Running simulation 4106/5000
Running simulation 4107/5000
Running simulation 4108/5000
Running simulation 4109/5000
Running simulation 4110/5000
Running simulation 4111/5000
Running simulation 4112/5000
Running simulation 4113/5000
Running simulation 4114/5000
Running simulation 4115/5000
Running simulation 4116/5000
Running simulation 4117/5000
Running simulation 4118/5000
Running simulation 4119/5000
Running simulation 4120/5000
Running simulation 4121/5000
Running simulation 4122/5000
Running simulation 4123/5000
Running simulation 4124/5000
Running simulation 4125/5000
Running simulation 4126/5000
Running simulation 4127/5000
Running simulation 4128/5000
Running simulation 4129/5000
Running simulation 4130/5000
Running simulation 4131/5000
Running simulation 4132/5000
Running simulation 4133/5000
Running simulation 4134/5000
Running simulation 4135/5000
Running simulation 4136/5000
Running simulation 4137/5000
Running simulation 4138/5000
Running simulation 4139/5000
Running simulation 4140/5000
Running simulation 4141/5000
Running simulation 4142/5000
Running simulation 4143/5000
Running simulation 4144/5000
Running simulation 4145/5000
Running simulation 4146/5000
Running simulation 4147/5000
Running simulation 4148/5000
Running simulation 4149/5000
Running simulation 4150/5000
Running simulation 4151/5000
Running simulation 4152/5000
Running simulation 4153/5000
Running simulation 4154/5000
Running simulation 4155/5000
Running simulation 4156/5000
Running simulation 4157/5000
Running simulation 4158/5000
Running simulation 4159/5000
Running simulation 4160/5000
Running simulation 4161/5000
Running simulation 4162/5000
Running simulation 4163/5000
Running simulation 4164/5000
Running simulation 4165/5000
Running simulation 4166/5000
Running simulation 4167/5000
Running simulation 4168/5000
Running simulation 4169/5000
Running simulation 4170/5000
Running simulation 4171/5000
Running simulation 4172/5000
Running simulation 4173/5000
Running simulation 4174/5000
Running simulation 4175/5000
Running simulation 4176/5000
Running simulation 4177/5000
Running simulation 4178/5000
Running simulation 4179/5000
Running simulation 4180/5000
Running simulation 4181/5000
Running simulation 4182/5000
Running simulation 4183/5000
Running simulation 4184/5000
Running simulation 4185/5000
Running simulation 4186/5000
Running simulation 4187/5000
Running simulation 4188/5000
Running simulation 4189/5000
Running simulation 4190/5000
Running simulation 4191/5000
Running simulation 4192/5000
Running simulation 4193/5000
Running simulation 4194/5000
Running simulation 4195/5000
Running simulation 4196/5000
Running simulation 4197/5000
Running simulation 4198/5000
Running simulation 4199/5000
Running simulation 4200/5000
Running simulation 4201/5000
Running simulation 4202/5000
Running simulation 4203/5000
Running simulation 4204/5000
Running simulation 4205/5000
Running simulation 4206/5000
Running simulation 4207/5000
Running simulation 4208/5000
Running simulation 4209/5000
Running simulation 4210/5000
Running simulation 4211/5000
Running simulation 4212/5000
Running simulation 4213/5000
Running simulation 4214/5000
Running simulation 4215/5000
Running simulation 4216/5000
Running simulation 4217/5000
Running simulation 4218/5000
Running simulation 4219/5000
Running simulation 4220/5000
Running simulation 4221/5000
Running simulation 4222/5000
Running simulation 4223/5000
Running simulation 4224/5000
Running simulation 4225/5000
Running simulation 4226/5000
Running simulation 4227/5000
Running simulation 4228/5000
Running simulation 4229/5000
Running simulation 4230/5000
Running simulation 4231/5000
Running simulation 4232/5000
Running simulation 4233/5000
Running simulation 4234/5000
Running simulation 4235/5000
Running simulation 4236/5000
Running simulation 4237/5000
Running simulation 4238/5000
Running simulation 4239/5000
Running simulation 4240/5000
Running simulation 4241/5000
Running simulation 4242/5000
Running simulation 4243/5000
Running simulation 4244/5000
Running simulation 4245/5000
Running simulation 4246/5000
Running simulation 4247/5000
Running simulation 4248/5000
Running simulation 4249/5000
Running simulation 4250/5000
Running simulation 4251/5000
Running simulation 4252/5000
Running simulation 4253/5000
Running simulation 4254/5000
Running simulation 4255/5000
Running simulation 4256/5000
Running simulation 4257/5000
Running simulation 4258/5000
Running simulation 4259/5000
Running simulation 4260/5000
Running simulation 4261/5000
Running simulation 4262/5000
Running simulation 4263/5000
Running simulation 4264/5000
Running simulation 4265/5000
Running simulation 4266/5000
Running simulation 4267/5000
Running simulation 4268/5000
Running simulation 4269/5000
Running simulation 4270/5000
Running simulation 4271/5000
Running simulation 4272/5000
Running simulation 4273/5000
Running simulation 4274/5000
Running simulation 4275/5000
Running simulation 4276/5000
Running simulation 4277/5000
Running simulation 4278/5000
Running simulation 4279/5000
Running simulation 4280/5000
Running simulation 4281/5000
Running simulation 4282/5000
Running simulation 4283/5000
Running simulation 4284/5000
Running simulation 4285/5000
Running simulation 4286/5000
Running simulation 4287/5000
Running simulation 4288/5000
Running simulation 4289/5000
Running simulation 4290/5000
Running simulation 4291/5000
Running simulation 4292/5000
Running simulation 4293/5000
Running simulation 4294/5000
Running simulation 4295/5000
Running simulation 4296/5000
Running simulation 4297/5000
Running simulation 4298/5000
Running simulation 4299/5000
Running simulation 4300/5000
Running simulation 4301/5000
Running simulation 4302/5000
Running simulation 4303/5000
Running simulation 4304/5000
Running simulation 4305/5000
Running simulation 4306/5000
Running simulation 4307/5000
Running simulation 4308/5000
Running simulation 4309/5000
Running simulation 4310/5000
Running simulation 4311/5000
Running simulation 4312/5000
Running simulation 4313/5000
Running simulation 4314/5000
Running simulation 4315/5000
Running simulation 4316/5000
Running simulation 4317/5000
Running simulation 4318/5000
Running simulation 4319/5000
Running simulation 4320/5000
Running simulation 4321/5000
Running simulation 4322/5000
Running simulation 4323/5000
Running simulation 4324/5000
Running simulation 4325/5000
Running simulation 4326/5000
Running simulation 4327/5000
Running simulation 4328/5000
Running simulation 4329/5000
Running simulation 4330/5000
Running simulation 4331/5000
Running simulation 4332/5000
Running simulation 4333/5000
Running simulation 4334/5000
Running simulation 4335/5000
Running simulation 4336/5000
Running simulation 4337/5000
Running simulation 4338/5000
Running simulation 4339/5000
Running simulation 4340/5000
Running simulation 4341/5000
Running simulation 4342/5000
Running simulation 4343/5000
Running simulation 4344/5000
Running simulation 4345/5000
Running simulation 4346/5000
Running simulation 4347/5000
Running simulation 4348/5000
Running simulation 4349/5000
Running simulation 4350/5000
Running simulation 4351/5000
Running simulation 4352/5000
Running simulation 4353/5000
Running simulation 4354/5000
Running simulation 4355/5000
Running simulation 4356/5000
Running simulation 4357/5000
Running simulation 4358/5000
Running simulation 4359/5000
Running simulation 4360/5000
Running simulation 4361/5000
Running simulation 4362/5000
Running simulation 4363/5000
Running simulation 4364/5000
Running simulation 4365/5000
Running simulation 4366/5000
Running simulation 4367/5000
Running simulation 4368/5000
Running simulation 4369/5000
Running simulation 4370/5000
Running simulation 4371/5000
Running simulation 4372/5000
Running simulation 4373/5000
Running simulation 4374/5000
Running simulation 4375/5000
Running simulation 4376/5000
Running simulation 4377/5000
Running simulation 4378/5000
Running simulation 4379/5000
Running simulation 4380/5000
Running simulation 4381/5000
Running simulation 4382/5000
Running simulation 4383/5000
Running simulation 4384/5000
Running simulation 4385/5000
Running simulation 4386/5000
Running simulation 4387/5000
Running simulation 4388/5000
Running simulation 4389/5000
Running simulation 4390/5000
Running simulation 4391/5000
Running simulation 4392/5000
Running simulation 4393/5000
Running simulation 4394/5000
Running simulation 4395/5000
Running simulation 4396/5000
Running simulation 4397/5000
Running simulation 4398/5000
Running simulation 4399/5000
Running simulation 4400/5000
Running simulation 4401/5000
Running simulation 4402/5000
Running simulation 4403/5000
Running simulation 4404/5000
Running simulation 4405/5000
Running simulation 4406/5000
Running simulation 4407/5000
Running simulation 4408/5000
Running simulation 4409/5000
Running simulation 4410/5000
Running simulation 4411/5000
Running simulation 4412/5000
Running simulation 4413/5000
Running simulation 4414/5000
Running simulation 4415/5000
Running simulation 4416/5000
Running simulation 4417/5000
Running simulation 4418/5000
Running simulation 4419/5000
Running simulation 4420/5000
Running simulation 4421/5000
Running simulation 4422/5000
Running simulation 4423/5000
Running simulation 4424/5000
Running simulation 4425/5000
Running simulation 4426/5000
Running simulation 4427/5000
Running simulation 4428/5000
Running simulation 4429/5000
Running simulation 4430/5000
Running simulation 4431/5000
Running simulation 4432/5000
Running simulation 4433/5000
Running simulation 4434/5000
Running simulation 4435/5000
Running simulation 4436/5000
Running simulation 4437/5000
Running simulation 4438/5000
Running simulation 4439/5000
Running simulation 4440/5000
Running simulation 4441/5000
Running simulation 4442/5000
Running simulation 4443/5000
Running simulation 4444/5000
Running simulation 4445/5000
Running simulation 4446/5000
Running simulation 4447/5000
Running simulation 4448/5000
Running simulation 4449/5000
Running simulation 4450/5000
Running simulation 4451/5000
Running simulation 4452/5000
Running simulation 4453/5000
Running simulation 4454/5000
Running simulation 4455/5000
Running simulation 4456/5000
Running simulation 4457/5000
Running simulation 4458/5000
Running simulation 4459/5000
Running simulation 4460/5000
Running simulation 4461/5000
Running simulation 4462/5000
Running simulation 4463/5000
Running simulation 4464/5000
Running simulation 4465/5000
Running simulation 4466/5000
Running simulation 4467/5000
Running simulation 4468/5000
Running simulation 4469/5000
Running simulation 4470/5000
Running simulation 4471/5000
Running simulation 4472/5000
Running simulation 4473/5000
Running simulation 4474/5000
Running simulation 4475/5000
Running simulation 4476/5000
Running simulation 4477/5000
Running simulation 4478/5000
Running simulation 4479/5000
Running simulation 4480/5000
Running simulation 4481/5000
Running simulation 4482/5000
Running simulation 4483/5000
Running simulation 4484/5000
Running simulation 4485/5000
Running simulation 4486/5000
Running simulation 4487/5000
Running simulation 4488/5000
Running simulation 4489/5000
Running simulation 4490/5000
Running simulation 4491/5000
Running simulation 4492/5000
Running simulation 4493/5000
Running simulation 4494/5000
Running simulation 4495/5000
Running simulation 4496/5000
Running simulation 4497/5000
Running simulation 4498/5000
Running simulation 4499/5000
Running simulation 4500/5000
Running simulation 4501/5000
Running simulation 4502/5000
Running simulation 4503/5000
Running simulation 4504/5000
Running simulation 4505/5000
Running simulation 4506/5000
Running simulation 4507/5000
Running simulation 4508/5000
Running simulation 4509/5000
Running simulation 4510/5000
Running simulation 4511/5000
Running simulation 4512/5000
Running simulation 4513/5000
Running simulation 4514/5000
Running simulation 4515/5000
Running simulation 4516/5000
Running simulation 4517/5000
Running simulation 4518/5000
Running simulation 4519/5000
Running simulation 4520/5000
Running simulation 4521/5000
Running simulation 4522/5000
Running simulation 4523/5000
Running simulation 4524/5000
Running simulation 4525/5000
Running simulation 4526/5000
Running simulation 4527/5000
Running simulation 4528/5000
Running simulation 4529/5000
Running simulation 4530/5000
Running simulation 4531/5000
Running simulation 4532/5000
Running simulation 4533/5000
Running simulation 4534/5000
Running simulation 4535/5000
Running simulation 4536/5000
Running simulation 4537/5000
Running simulation 4538/5000
Running simulation 4539/5000
Running simulation 4540/5000
Running simulation 4541/5000
Running simulation 4542/5000
Running simulation 4543/5000
Running simulation 4544/5000
Running simulation 4545/5000
Running simulation 4546/5000
Running simulation 4547/5000
Running simulation 4548/5000
Running simulation 4549/5000
Running simulation 4550/5000
Running simulation 4551/5000
Running simulation 4552/5000
Running simulation 4553/5000
Running simulation 4554/5000
Running simulation 4555/5000
Running simulation 4556/5000
Running simulation 4557/5000
Running simulation 4558/5000
Running simulation 4559/5000
Running simulation 4560/5000
Running simulation 4561/5000
Running simulation 4562/5000
Running simulation 4563/5000
Running simulation 4564/5000
Running simulation 4565/5000
Running simulation 4566/5000
Running simulation 4567/5000
Running simulation 4568/5000
Running simulation 4569/5000
Running simulation 4570/5000
Running simulation 4571/5000
Running simulation 4572/5000
Running simulation 4573/5000
Running simulation 4574/5000
Running simulation 4575/5000
Running simulation 4576/5000
Running simulation 4577/5000
Running simulation 4578/5000
Running simulation 4579/5000
Running simulation 4580/5000
Running simulation 4581/5000
Running simulation 4582/5000
Running simulation 4583/5000
Running simulation 4584/5000
Running simulation 4585/5000
Running simulation 4586/5000
Running simulation 4587/5000
Running simulation 4588/5000
Running simulation 4589/5000
Running simulation 4590/5000
Running simulation 4591/5000
Running simulation 4592/5000
Running simulation 4593/5000
Running simulation 4594/5000
Running simulation 4595/5000
Running simulation 4596/5000
Running simulation 4597/5000
Running simulation 4598/5000
Running simulation 4599/5000
Running simulation 4600/5000
Running simulation 4601/5000
Running simulation 4602/5000
Running simulation 4603/5000
Running simulation 4604/5000
Running simulation 4605/5000
Running simulation 4606/5000
Running simulation 4607/5000
Running simulation 4608/5000
Running simulation 4609/5000
Running simulation 4610/5000
Running simulation 4611/5000
Running simulation 4612/5000
Running simulation 4613/5000
Running simulation 4614/5000
Running simulation 4615/5000
Running simulation 4616/5000
Running simulation 4617/5000
Running simulation 4618/5000
Running simulation 4619/5000
Running simulation 4620/5000
Running simulation 4621/5000
Running simulation 4622/5000
Running simulation 4623/5000
Running simulation 4624/5000
Running simulation 4625/5000
Running simulation 4626/5000
Running simulation 4627/5000
Running simulation 4628/5000
Running simulation 4629/5000
Running simulation 4630/5000
Running simulation 4631/5000
Running simulation 4632/5000
Running simulation 4633/5000
Running simulation 4634/5000
Running simulation 4635/5000
Running simulation 4636/5000
Running simulation 4637/5000
Running simulation 4638/5000
Running simulation 4639/5000
Running simulation 4640/5000
Running simulation 4641/5000
Running simulation 4642/5000
Running simulation 4643/5000
Running simulation 4644/5000
Running simulation 4645/5000
Running simulation 4646/5000
Running simulation 4647/5000
Running simulation 4648/5000
Running simulation 4649/5000
Running simulation 4650/5000
Running simulation 4651/5000
Running simulation 4652/5000
Running simulation 4653/5000
Running simulation 4654/5000
Running simulation 4655/5000
Running simulation 4656/5000
Running simulation 4657/5000
Running simulation 4658/5000
Running simulation 4659/5000
Running simulation 4660/5000
Running simulation 4661/5000
Running simulation 4662/5000
Running simulation 4663/5000
Running simulation 4664/5000
Running simulation 4665/5000
Running simulation 4666/5000
Running simulation 4667/5000
Running simulation 4668/5000
Running simulation 4669/5000
Running simulation 4670/5000
Running simulation 4671/5000
Running simulation 4672/5000
Running simulation 4673/5000
Running simulation 4674/5000
Running simulation 4675/5000
Running simulation 4676/5000
Running simulation 4677/5000
Running simulation 4678/5000
Running simulation 4679/5000
Running simulation 4680/5000
Running simulation 4681/5000
Running simulation 4682/5000
Running simulation 4683/5000
Running simulation 4684/5000
Running simulation 4685/5000
Running simulation 4686/5000
Running simulation 4687/5000
Running simulation 4688/5000
Running simulation 4689/5000
Running simulation 4690/5000
Running simulation 4691/5000
Running simulation 4692/5000
Running simulation 4693/5000
Running simulation 4694/5000
Running simulation 4695/5000
Running simulation 4696/5000
Running simulation 4697/5000
Running simulation 4698/5000
Running simulation 4699/5000
Running simulation 4700/5000
Running simulation 4701/5000
Running simulation 4702/5000
Running simulation 4703/5000
Running simulation 4704/5000
Running simulation 4705/5000
Running simulation 4706/5000
Running simulation 4707/5000
Running simulation 4708/5000
Running simulation 4709/5000
Running simulation 4710/5000
Running simulation 4711/5000
Running simulation 4712/5000
Running simulation 4713/5000
Running simulation 4714/5000
Running simulation 4715/5000
Running simulation 4716/5000
Running simulation 4717/5000
Running simulation 4718/5000
Running simulation 4719/5000
Running simulation 4720/5000
Running simulation 4721/5000
Running simulation 4722/5000
Running simulation 4723/5000
Running simulation 4724/5000
Running simulation 4725/5000
Running simulation 4726/5000
Running simulation 4727/5000
Running simulation 4728/5000
Running simulation 4729/5000
Running simulation 4730/5000
Running simulation 4731/5000
Running simulation 4732/5000
Running simulation 4733/5000
Running simulation 4734/5000
Running simulation 4735/5000
Running simulation 4736/5000
Running simulation 4737/5000
Running simulation 4738/5000
Running simulation 4739/5000
Running simulation 4740/5000
Running simulation 4741/5000
Running simulation 4742/5000
Running simulation 4743/5000
Running simulation 4744/5000
Running simulation 4745/5000
Running simulation 4746/5000
Running simulation 4747/5000
Running simulation 4748/5000
Running simulation 4749/5000
Running simulation 4750/5000
Running simulation 4751/5000
Running simulation 4752/5000
Running simulation 4753/5000
Running simulation 4754/5000
Running simulation 4755/5000
Running simulation 4756/5000
Running simulation 4757/5000
Running simulation 4758/5000
Running simulation 4759/5000
Running simulation 4760/5000
Running simulation 4761/5000
Running simulation 4762/5000
Running simulation 4763/5000
Running simulation 4764/5000
Running simulation 4765/5000
Running simulation 4766/5000
Running simulation 4767/5000
Running simulation 4768/5000
Running simulation 4769/5000
Running simulation 4770/5000
Running simulation 4771/5000
Running simulation 4772/5000
Running simulation 4773/5000
Running simulation 4774/5000
Running simulation 4775/5000
Running simulation 4776/5000
Running simulation 4777/5000
Running simulation 4778/5000
Running simulation 4779/5000
Running simulation 4780/5000
Running simulation 4781/5000
Running simulation 4782/5000
Running simulation 4783/5000
Running simulation 4784/5000
Running simulation 4785/5000
Running simulation 4786/5000
Running simulation 4787/5000
Running simulation 4788/5000
Running simulation 4789/5000
Running simulation 4790/5000
Running simulation 4791/5000
Running simulation 4792/5000
Running simulation 4793/5000
Running simulation 4794/5000
Running simulation 4795/5000
Running simulation 4796/5000
Running simulation 4797/5000
Running simulation 4798/5000
Running simulation 4799/5000
Running simulation 4800/5000
Running simulation 4801/5000
Running simulation 4802/5000
Running simulation 4803/5000
Running simulation 4804/5000
Running simulation 4805/5000
Running simulation 4806/5000
Running simulation 4807/5000
Running simulation 4808/5000
Running simulation 4809/5000
Running simulation 4810/5000
Running simulation 4811/5000
Running simulation 4812/5000
Running simulation 4813/5000
Running simulation 4814/5000
Running simulation 4815/5000
Running simulation 4816/5000
Running simulation 4817/5000
Running simulation 4818/5000
Running simulation 4819/5000
Running simulation 4820/5000
Running simulation 4821/5000
Running simulation 4822/5000
Running simulation 4823/5000
Running simulation 4824/5000
Running simulation 4825/5000
Running simulation 4826/5000
Running simulation 4827/5000
Running simulation 4828/5000
Running simulation 4829/5000
Running simulation 4830/5000
Running simulation 4831/5000
Running simulation 4832/5000
Running simulation 4833/5000
Running simulation 4834/5000
Running simulation 4835/5000
Running simulation 4836/5000
Running simulation 4837/5000
Running simulation 4838/5000
Running simulation 4839/5000
Running simulation 4840/5000
Running simulation 4841/5000
Running simulation 4842/5000
Running simulation 4843/5000
Running simulation 4844/5000
Running simulation 4845/5000
Running simulation 4846/5000
Running simulation 4847/5000
Running simulation 4848/5000
Running simulation 4849/5000
Running simulation 4850/5000
Running simulation 4851/5000
Running simulation 4852/5000
Running simulation 4853/5000
Running simulation 4854/5000
Running simulation 4855/5000
Running simulation 4856/5000
Running simulation 4857/5000
Running simulation 4858/5000
Running simulation 4859/5000
Running simulation 4860/5000
Running simulation 4861/5000
Running simulation 4862/5000
Running simulation 4863/5000
Running simulation 4864/5000
Running simulation 4865/5000
Running simulation 4866/5000
Running simulation 4867/5000
Running simulation 4868/5000
Running simulation 4869/5000
Running simulation 4870/5000
Running simulation 4871/5000
Running simulation 4872/5000
Running simulation 4873/5000
Running simulation 4874/5000
Running simulation 4875/5000
Running simulation 4876/5000
Running simulation 4877/5000
Running simulation 4878/5000
Running simulation 4879/5000
Running simulation 4880/5000
Running simulation 4881/5000
Running simulation 4882/5000
Running simulation 4883/5000
Running simulation 4884/5000
Running simulation 4885/5000
Running simulation 4886/5000
Running simulation 4887/5000
Running simulation 4888/5000
Running simulation 4889/5000
Running simulation 4890/5000
Running simulation 4891/5000
Running simulation 4892/5000
Running simulation 4893/5000
Running simulation 4894/5000
Running simulation 4895/5000
Running simulation 4896/5000
Running simulation 4897/5000
Running simulation 4898/5000
Running simulation 4899/5000
Running simulation 4900/5000
Running simulation 4901/5000
Running simulation 4902/5000
Running simulation 4903/5000
Running simulation 4904/5000
Running simulation 4905/5000
Running simulation 4906/5000
Running simulation 4907/5000
Running simulation 4908/5000
Running simulation 4909/5000
Running simulation 4910/5000
Running simulation 4911/5000
Running simulation 4912/5000
Running simulation 4913/5000
Running simulation 4914/5000
Running simulation 4915/5000
Running simulation 4916/5000
Running simulation 4917/5000
Running simulation 4918/5000
Running simulation 4919/5000
Running simulation 4920/5000
Running simulation 4921/5000
Running simulation 4922/5000
Running simulation 4923/5000
Running simulation 4924/5000
Running simulation 4925/5000
Running simulation 4926/5000
Running simulation 4927/5000
Running simulation 4928/5000
Running simulation 4929/5000
Running simulation 4930/5000
Running simulation 4931/5000
Running simulation 4932/5000
Running simulation 4933/5000
Running simulation 4934/5000
Running simulation 4935/5000
Running simulation 4936/5000
Running simulation 4937/5000
Running simulation 4938/5000
Running simulation 4939/5000
Running simulation 4940/5000
Running simulation 4941/5000
Running simulation 4942/5000
Running simulation 4943/5000
Running simulation 4944/5000
Running simulation 4945/5000
Running simulation 4946/5000
Running simulation 4947/5000
Running simulation 4948/5000
Running simulation 4949/5000
Running simulation 4950/5000
Running simulation 4951/5000
Running simulation 4952/5000
Running simulation 4953/5000
Running simulation 4954/5000
Running simulation 4955/5000
Running simulation 4956/5000
Running simulation 4957/5000
Running simulation 4958/5000
Running simulation 4959/5000
Running simulation 4960/5000
Running simulation 4961/5000
Running simulation 4962/5000
Running simulation 4963/5000
Running simulation 4964/5000
Running simulation 4965/5000
Running simulation 4966/5000
Running simulation 4967/5000
Running simulation 4968/5000
Running simulation 4969/5000
Running simulation 4970/5000
Running simulation 4971/5000
Running simulation 4972/5000
Running simulation 4973/5000
Running simulation 4974/5000
Running simulation 4975/5000
Running simulation 4976/5000
Running simulation 4977/5000
Running simulation 4978/5000
Running simulation 4979/5000
Running simulation 4980/5000
Running simulation 4981/5000
Running simulation 4982/5000
Running simulation 4983/5000
Running simulation 4984/5000
Running simulation 4985/5000
Running simulation 4986/5000
Running simulation 4987/5000
Running simulation 4988/5000
Running simulation 4989/5000
Running simulation 4990/5000
Running simulation 4991/5000
Running simulation 4992/5000
Running simulation 4993/5000
Running simulation 4994/5000
Running simulation 4995/5000
Running simulation 4996/5000
Running simulation 4997/5000
Running simulation 4998/5000
Running simulation 4999/5000
Running simulation 5000/5000
Collected 5000 successful simulations
TRGSURT range: 155.2 - 920.1 °C
Step 4: Quick Data Exploration#
# Show parameter correlations with output
input_params = [
"heat_of_combustion",
"radiative_fraction",
"soot_yield",
"target_location_z",
]
correlations = training_data[input_params].corrwith(training_data["max_trgsurt"])
print("Parameter correlations with TRGSURT:")
for param, corr in correlations.abs().sort_values(ascending=False).items():
direction = "+" if correlations[param] > 0 else "-"
print(f" {param}: {direction}{corr:.3f}")
# Quick visualization
fig, ax = plt.subplots(1, 1, figsize=(8, 6))
sns.heatmap(training_data.corr(), annot=True, cmap="coolwarm", center=0, ax=ax)
plt.title("Parameter Correlation Matrix")
plt.tight_layout()
plt.show()

Parameter correlations with TRGSURT:
target_location_z: -0.939
radiative_fraction: +0.129
soot_yield: -0.001
heat_of_combustion: +0.001
The correlation analysis shows that target height (z-axis position) has the strongest negative correlation with TRGSURT, making it the most influential parameter for temperature prediction. This makes physical sense since the farther the target device is from the fire source, the lower the surface temperature it experiences.
Radiative fraction shows the second strongest correlation, showing the importance of radiative heat transfer in determining target surface temperatures in fire scenarios.
Step 5: Train Surrogate Models#
# Prepare data for machine learning models
X = training_data[input_params].values
y = training_data["max_trgsurt"].values
X_train, X_test, y_train, y_test = train_test_split(
X, y, test_size=0.2, random_state=42
)
models = {}
metrics = {}
# Prepare models and evaluate their performance
# 1. Linear Regression
models["Linear"] = Pipeline(
[("scaler", StandardScaler()), ("regressor", LinearRegression())]
)
models["Linear"].fit(X_train, y_train)
y_pred = models["Linear"].predict(X_test)
metrics["Linear"] = {
"R²": r2_score(y_test, y_pred),
"RMSE": np.sqrt(mean_squared_error(y_test, y_pred)),
}
# 2. Polynomial Regression
models["Polynomial"] = Pipeline(
[
("scaler", StandardScaler()),
("poly", PolynomialFeatures(degree=2, include_bias=False)),
("regressor", LinearRegression()),
]
)
models["Polynomial"].fit(X_train, y_train)
y_pred = models["Polynomial"].predict(X_test)
metrics["Polynomial"] = {
"R²": r2_score(y_test, y_pred),
"RMSE": np.sqrt(mean_squared_error(y_test, y_pred)),
}
# 3. Gradient Boosting
models["Gradient Boosting"] = Pipeline(
[
("scaler", StandardScaler()),
("regressor", GradientBoostingRegressor(n_estimators=100, random_state=42)),
]
)
models["Gradient Boosting"].fit(X_train, y_train)
y_pred = models["Gradient Boosting"].predict(X_test)
metrics["Gradient Boosting"] = {
"R²": r2_score(y_test, y_pred),
"RMSE": np.sqrt(mean_squared_error(y_test, y_pred)),
}
# 4. Random Forest
models["Random Forest"] = Pipeline(
[
("scaler", StandardScaler()),
("regressor", RandomForestRegressor(n_estimators=100, random_state=42)),
]
)
models["Random Forest"].fit(X_train, y_train)
y_pred = models["Random Forest"].predict(X_test)
metrics["Random Forest"] = {
"R²": r2_score(y_test, y_pred),
"RMSE": np.sqrt(mean_squared_error(y_test, y_pred)),
}
print("Model Performance:")
for name, metric in metrics.items():
print(f" {name}: R² = {metric['R²']:.4f}, RMSE = {metric['RMSE']:.2f} °C")
Model Performance:
Linear: R² = 0.8993, RMSE = 76.91 °C
Polynomial: R² = 0.9776, RMSE = 36.30 °C
Gradient Boosting: R² = 0.9988, RMSE = 8.56 °C
Random Forest: R² = 0.9996, RMSE = 4.77 °C
Neural net model in a separate cell below as this requires more setup.
class SimpleNN(nn.Module):
def __init__(self, input_size):
super().__init__()
self.net = nn.Sequential(
nn.Linear(input_size, 16),
nn.ReLU(),
nn.Linear(16, 16),
nn.ReLU(),
nn.Linear(16, 1),
)
def forward(self, x):
return self.net(x)
scaler_nn = StandardScaler()
X_train_scaled = scaler_nn.fit_transform(X_train)
X_test_scaled = scaler_nn.transform(X_test)
y_scaler = StandardScaler()
y_train_scaled = y_scaler.fit_transform(y_train.reshape(-1, 1)).flatten()
X_train_tensor = torch.FloatTensor(X_train_scaled)
y_train_tensor = torch.FloatTensor(y_train_scaled).reshape(-1, 1)
X_test_tensor = torch.FloatTensor(X_test_scaled)
val_fraction = 0.2
n_val = int(len(X_train_tensor) * val_fraction)
X_val_tensor = X_train_tensor[:n_val]
y_val_tensor = y_train_tensor[:n_val]
X_tr_tensor = X_train_tensor[n_val:]
y_tr_tensor = y_train_tensor[n_val:]
train_dataset = TensorDataset(X_tr_tensor, y_tr_tensor)
val_dataset = TensorDataset(X_val_tensor, y_val_tensor)
train_loader = DataLoader(train_dataset, batch_size=16, shuffle=True)
val_loader = DataLoader(val_dataset, batch_size=256, shuffle=False)
model_nn = SimpleNN(X_train.shape[1])
criterion = nn.MSELoss()
optimizer = optim.Adam(model_nn.parameters(), lr=0.001, weight_decay=1e-5)
scheduler = optim.lr_scheduler.ReduceLROnPlateau(
optimizer, mode="min", factor=0.5, patience=10
)
best_val_loss = float("inf")
patience = 20
patience_counter = 0
best_state = None
history = {"train": [], "val": []}
for epoch in range(1000):
model_nn.train()
train_loss = 0.0
for batch_X, batch_y in train_loader:
optimizer.zero_grad()
outputs = model_nn(batch_X)
loss = criterion(outputs, batch_y)
loss.backward()
torch.nn.utils.clip_grad_norm_(model_nn.parameters(), max_norm=1.0)
optimizer.step()
train_loss += loss.item()
train_loss /= len(train_loader)
model_nn.eval()
with torch.no_grad():
val_loss = 0.0
for batch_X, batch_y in val_loader:
outputs = model_nn(batch_X)
val_loss += criterion(outputs, batch_y).item()
val_loss /= len(val_loader)
scheduler.step(val_loss)
history["train"].append(train_loss)
history["val"].append(val_loss)
if epoch % 40 == 0:
print(
f"Epoch {epoch}, Train Loss: {train_loss:.6f}, Val Loss: {val_loss:.6f}, LR: {optimizer.param_groups[0]['lr']:.6f}"
)
if val_loss < best_val_loss:
best_val_loss = val_loss
best_state = {k: v.clone() for k, v in model_nn.state_dict().items()}
patience_counter = 0
else:
patience_counter += 1
if patience_counter >= patience:
print(f"Early stopping at epoch {epoch + 1}")
break
if best_state:
model_nn.load_state_dict(best_state)
model_nn.eval()
with torch.no_grad():
y_pred_nn_scaled = model_nn(X_test_tensor).cpu().numpy()
y_pred_nn = y_scaler.inverse_transform(y_pred_nn_scaled).flatten()
models["Neural Network"] = {
"model": model_nn,
"scaler": scaler_nn,
"y_scaler": y_scaler,
}
metrics["Neural Network"] = {
"R²": r2_score(y_test, y_pred_nn),
"RMSE": np.sqrt(mean_squared_error(y_test, y_pred_nn)),
}
print(
f"Neural Network: R² = {metrics['Neural Network']['R²']:.4f}, RMSE = {metrics['Neural Network']['RMSE']:.2f} °C"
)
best_model = max(metrics.keys(), key=lambda k: metrics[k]["R²"])
print(f"\nBest model: {best_model} (R² = {metrics[best_model]['R²']:.4f})")
Epoch 0, Train Loss: 0.489891, Val Loss: 0.061876, LR: 0.001000
Epoch 40, Train Loss: 0.005443, Val Loss: 0.004490, LR: 0.001000
Epoch 80, Train Loss: 0.000439, Val Loss: 0.000425, LR: 0.001000
Epoch 120, Train Loss: 0.000180, Val Loss: 0.000212, LR: 0.000250
Epoch 160, Train Loss: 0.000150, Val Loss: 0.000137, LR: 0.000250
Epoch 200, Train Loss: 0.000123, Val Loss: 0.000125, LR: 0.000063
Epoch 240, Train Loss: 0.000118, Val Loss: 0.000120, LR: 0.000031
Early stopping at epoch 269
Neural Network: R² = 0.9998, RMSE = 3.12 °C
Best model: Neural Network (R² = 0.9998)
Plotting the training history shows that the model is learning well without overfitting.
plt.figure(figsize=(7, 4))
plt.plot(history["train"], label="Training Loss", color="#0072B2", linewidth=2)
plt.plot(history["val"], label="Validation Loss", color="#D55E00", linewidth=2)
plt.xlabel("Epoch", fontsize=12)
plt.ylabel("MSE Loss (scaled)", fontsize=12)
plt.title("Neural Network Training and Validation Loss", fontsize=14)
plt.yscale("log")
plt.legend(fontsize=11)
plt.grid(True, alpha=0.4)
min_val_epoch = np.argmin(history["val"])
min_val_loss = history["val"][min_val_epoch]
plt.tight_layout()
plt.show()

Step 6: Evaluate and Compare Models#
model_names = list(metrics.keys())
n_models = len(model_names)
fig = plt.figure(figsize=(20, 12))
for i, model_name in enumerate(model_names):
ax = plt.subplot(2, n_models, i + 1)
if model_name == "Neural Network":
model_obj = models[model_name]
model_obj["model"].eval()
with torch.no_grad():
y_pred_scaled = model_obj["model"](X_test_tensor).numpy()
y_pred = model_obj["y_scaler"].inverse_transform(y_pred_scaled).flatten()
else:
y_pred = models[model_name].predict(X_test)
ax.scatter(y_test, y_pred, alpha=0.6, s=30)
min_val, max_val = y_test.min(), y_test.max()
ax.plot([min_val, max_val], [min_val, max_val], "r--", linewidth=2)
ax.set_xlabel("Actual TRGSURT (°C)")
ax.set_ylabel("Predicted TRGSURT (°C)")
ax.set_title(f"{model_name}\nR² = {metrics[model_name]['R²']:.4f}")
ax.grid(True, alpha=0.3)
ax.text(
0.05,
0.95,
f"RMSE = {metrics[model_name]['RMSE']:.1f}°C",
transform=ax.transAxes,
verticalalignment="top",
bbox={"boxstyle": "round", "facecolor": "white", "alpha": 0.8},
)
ax_r2 = plt.subplot(2, 2, 3)
r2_scores = [metrics[m]["R²"] for m in model_names]
colors = ["blue", "green", "orange", "red"][: len(model_names)]
bars = ax_r2.bar(model_names, r2_scores, color=colors)
ax_r2.set_ylabel("R² Score")
ax_r2.set_title("R² Score Comparison")
ax_r2.tick_params(axis="x", rotation=45)
ax_r2.grid(True, alpha=0.3)
for bar, score in zip(bars, r2_scores, strict=False):
height = bar.get_height()
ax_r2.text(
bar.get_x() + bar.get_width() / 2.0,
height + 0.01,
f"{score:.3f}",
ha="center",
va="bottom",
fontsize=9,
)
ax_rmse = plt.subplot(2, 2, 4)
rmse_scores = [metrics[m]["RMSE"] for m in model_names]
bars = ax_rmse.bar(model_names, rmse_scores, color=colors)
ax_rmse.set_ylabel("RMSE (°C)")
ax_rmse.set_title("RMSE Comparison")
ax_rmse.tick_params(axis="x", rotation=45)
ax_rmse.grid(True, alpha=0.3)
for bar, score in zip(bars, rmse_scores, strict=False):
height = bar.get_height()
ax_rmse.text(
bar.get_x() + bar.get_width() / 2.0,
height + 1,
f"{score:.1f}",
ha="center",
va="bottom",
fontsize=9,
)
plt.subplots_adjust(wspace=0.4, hspace=0.4)
plt.show()
print("Performance Summary:")
for name, metric in metrics.items():
print(f"{name}: R² = {metric['R²']:.4f}, RMSE = {metric['RMSE']:.2f} °C")
best_model = max(metrics.keys(), key=lambda k: metrics[k]["R²"])
print(f"\nBest model: {best_model} (R² = {metrics[best_model]['R²']:.4f})")

Performance Summary:
Linear: R² = 0.8993, RMSE = 76.91 °C
Polynomial: R² = 0.9776, RMSE = 36.30 °C
Gradient Boosting: R² = 0.9988, RMSE = 8.56 °C
Random Forest: R² = 0.9996, RMSE = 4.77 °C
Neural Network: R² = 0.9998, RMSE = 3.12 °C
Best model: Neural Network (R² = 0.9998)
Step 7: Rough Speed Comparison#
import time
test_params = training_samples.iloc[0]
start = time.time()
test_model_run = run_cfast_simulation(test_params)
cfast_time = time.time() - start
test_X = np.array(
[
[
test_params["heat_of_combustion"],
test_params["radiative_fraction"],
test_params["soot_yield"],
test_params["target_location_z"],
]
]
)
start = time.time()
if best_model == "Neural Network":
X_scaled = models[best_model]["scaler"].transform(test_X)
X_tensor = torch.FloatTensor(X_scaled)
models[best_model]["model"].eval()
with torch.no_grad():
pred = models[best_model]["model"](X_tensor).numpy()
else:
pred = models[best_model].predict(test_X)
surrogate_time = time.time() - start
speedup = cfast_time / surrogate_time
print("Rough Speed comparison:")
print(f"CFAST: {cfast_time:.3f} seconds")
print(f"{best_model}: {surrogate_time:.6f} seconds")
print(f"Speedup: {speedup:.0f}x faster")
Rough Speed comparison:
CFAST: 0.540 seconds
Neural Network: 0.000528 seconds
Speedup: 1022x faster
Surrogate models perform well on test data and is able to speed up predictions by several orders of magnitude. Of Course this is because the parameter space is small and the model is simple. More complex models will require more training data and more sophisticated surrogate models.
Cleanup#
import glob
import os
files_to_remove = glob.glob("SP_AST_Diesel_1p1*")
for file in files_to_remove:
if os.path.exists(file):
os.remove(file)
print("Cleanup completed!")
Cleanup completed!
Total running time of the script: (45 minutes 34.684 seconds)